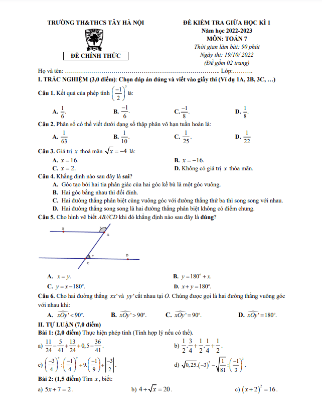
Đề tham khảo giữa học kì 1 (HK1) lớp 7 môn Toán năm 2022 2023 trường THCS Trương Công Định TP HCM

Đề tham khảo giữa học kì 1 (HK1) lớp 7 môn Toán năm 2022 2023 trường THCS Trương Công Định TP HCM

Nội dung Đề tham khảo giữa học kì 1 (HK1) lớp 7 môn Toán năm 2022 2023 trường THCS Trương Công Định TP HCM Bản PDF

Sytu hân hạnh giới thiệu đến quý thầy cô và các em học sinh lớp 7 đề thi tham khảo giữa học kì 1 môn Toán năm học 2022 - 2023 của Trường THCS Trương Công Định, TP Hồ Chí Minh. Đề thi được biên soạn theo cấu trúc 30% trắc nghiệm và 70% tự luận, với thang điểm chuẩn. Thời gian làm bài là 90 phút (không tính thời gian giao đề), đề thi đi kèm đáp án trắc nghiệm, lời giải chi tiết tự luận và hướng dẫn chấm điểm.

Một số câu hỏi trong đề thi mẫu bao gồm:
- Tính diện tích xung quanh của một cột bê tông hình lăng trụ đứng có chiều cao 2m và đáy là tam giác đều có cạnh 0,5 m.
- Người ta làm một thùng tôn hình lập phương có độ dài cạnh là 2m. Hỏi cần bao nhiêu ki-lô-gam sơn để sơn 4 mặt xung quanh và nắp, biết rằng để sơn 1m2 cần dùng 0,5 kg sơn.
- Tại siêu thị Điện Máy Xanh, một chiếc tivi 42 inch có giá niêm yết là 12,000,000 đồng. Trong tháng 9, siêu thị giảm giá 15%. Sang tháng 10, siêu thị lại giảm giá và giá chỉ còn 9,180,000 đồng. Hỏi tháng 10, siêu thị đã giảm giá bao nhiêu phần trăm so với tháng 9?

Đề thi này sẽ giúp các em học sinh lớp 7 ôn tập và kiểm tra kiến thức một cách hiệu quả. Đồng thời, cũng giúp giáo viên đánh giá được năng lực của học sinh để có kế hoạch hướng dẫn phù hợp. Mong rằng đề thi này sẽ giúp ích cho việc học tập của các em.
Bình luận (5)

Vũ Thuý Hạnh

Tôi rất hạnh phúc khi thấy trường mình có tài liệu tham khảo chất lượng như vậy, như thế học sinh sẽ có điều kiện tốt hơn để học tập và phát triển.

Trả lời.

Nguyễn Phi Tuấn

Em vui mừng khi có tài liệu này, nó giúp em thấy thoải mái hơn khi ôn tập và chuẩn bị cho kì thi sắp tới.

Trả lời.

Võ Anh Thư

Tôi hết sức ấn tượng với chất lượng của tài liệu này, nó rất chi tiết và logic, giúp học sinh hiểu bài dễ dàng hơn.

Trả lời.

ngọc ánh

Em cảm thấy rất cảm động vì thầy/cô đã sắp xếp và biên soạn tài liệu tham khảo này cho học sinh, điều này thể hiện tấm lòng quan tâm và chia sẻ của thầy/cô.

Trả lời.

5RTERT

Tôi không thể nhịn được cười khi thấy đề tham khảo này, nét vui nhộn trong các câu hỏi sẽ khiến học sinh thích thú khi làm bài.

Trả lời.
Nhấn vào đây để đánh giá
Thông tin người gửi
1.54596 sec| 2480.305 kb