Đề tham khảo học kì 1 (HK1) lớp 8 môn Toán năm 2022 2023 trường EMASI Nam Long TP HCM

Đề tham khảo học kì 1 (HK1) lớp 8 môn Toán năm 2022 2023 trường EMASI Nam Long TP HCM

Nội dung Đề tham khảo học kì 1 (HK1) lớp 8 môn Toán năm 2022 2023 trường EMASI Nam Long TP HCM Bản PDF

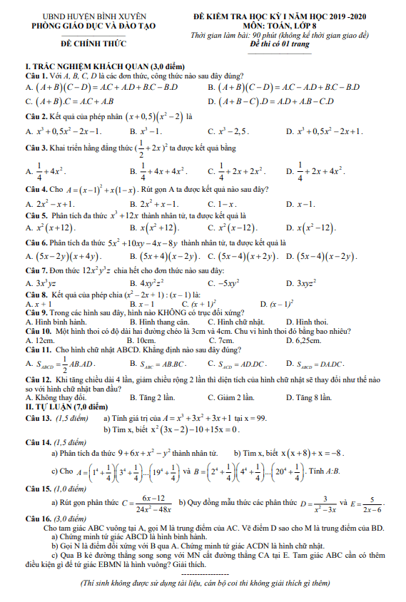
Bộ đề tham khảo học kỳ 1 môn Toán lớp 8 năm học 2022 - 2023 của trường EMASI Nam Long TP HCM đã được Sytu giới thiệu đến quý thầy, cô giáo và các em học sinh lớp 8. Đề thi được biên soạn theo hình thức tự luận với thời gian làm bài là 90 phút. Đề thi bao gồm đáp án, hướng dẫn giải chi tiết và thang điểm.

Một trong các câu hỏi trong đề thi là về việc tổ chức giải bóng rổ cho học sinh khối lớp 8-9, với mỗi lớp cử một đội tham dự. Học sinh được yêu cầu viết biểu thức đại số tính tổng số trận đấu của khối lớp 8-9 và tìm số lớp tham dự nếu biết tổng số trận đấu. Câu hỏi khác liên quan đến phân thức, yêu cầu học sinh tìm điều kiện xác định, rút gọn phân thức, tính giá trị của biểu thức và tìm giá trị của để phân thức có giá trị bằng một giá trị cụ thể.

Ngoài ra, đề thi còn đưa ra bài toán về mỏ dầu khí "Sao Vàng - Đại Nguyệt" ở bể Nam Côn Sơn, nằm ở độ sâu và cách bờ biển Vũng Tàu một khoảng cách nhất định. Học sinh được yêu cầu tính diện tích vùng biển bên trong tứ giác ra hải lý vuông dựa trên các thông tin về khoảng cách giữa các vị trí được cung cấp.

Đề tham khảo học kỳ 1 môn Toán lớp 8 năm học 2022 - 2023 của trường EMASI Nam Long TP HCM không chỉ giúp học sinh ôn tập kiến thức mà còn giúp họ rèn luyện kỹ năng giải bài toán và tư duy logic.endphp
Bình luận (5)

hoàng thị hồng hạnh

Tôi hết sức ấn tượng với chất lượng và tổng hợp kiến thức trong đề tham khảo học kì 1 môn Toán năm 2022-2023 của trường EMASI Nam Long. Đây thực sự là một tài liệu quý giá đối với học sinh.

Trả lời.

Liên Trần Gia Khang

Em rất biết ơn trường EMASI Nam Long khi cung cấp đề tham khảo học kì 1 môn Toán cho lớp 8. Điều này cho thấy tinh thần tận tâm và đồng hành cùng học sinh của trường.

Trả lời.

Chanz Thu

Tôi không thể không cảm động khi nhận được tài liệu hữu ích như vậy từ trường EMASI Nam Long. Điều này thể hiện sự quan tâm và chăm sóc đến học sinh rất lớn.

Trả lời.

Lê tiến dũng

Em thấy rất phấn khích khi biết có thể tải về file pdf của đề tham khảo HK1 môn Toán năm 2022-2023. Chắc chắn đây sẽ là cẩm nang quan trọng giúp em ôn tập hiệu quả.

Trả lời.

Anh Nguyên

Tôi rất vui khi thấy có đề tham khảo học kì 1 môn Toán cho lớp 8 được cung cấp từ trường EMASI Nam Long TP HCM. Đây chắc chắn sẽ là tài liệu hữu ích giúp học sinh chuẩn bị tốt cho kỳ thi sắp tới.

Trả lời.
Nhấn vào đây để đánh giá
Thông tin người gửi
1.35686 sec| 2477.102 kb