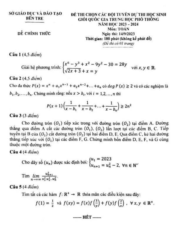
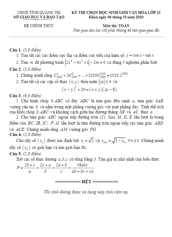
Đề thi chọn đội tuyển tham dự kỳ thi chọn HSG Quốc gia 2018 sở GD và ĐT Quảng Ngãi (Ngày 2)

Đề thi chọn đội tuyển tham dự kỳ thi chọn HSG Quốc gia 2018 sở GD và ĐT Quảng Ngãi (Ngày 2)

Nội dung Đề thi chọn đội tuyển tham dự kỳ thi chọn HSG Quốc gia 2018 sở GD và ĐT Quảng Ngãi (Ngày 2) Bản PDF

Đề thi chọn đội tuyển tham dự HSG Quốc gia 2018 sở GD và ĐT Quảng Ngãi (Ngày 2)

Đề thi chọn đội tuyển tham dự kỳ thi chọn HSG Quốc gia 2018 sở GD và ĐT Quảng Ngãi (Ngày thi thứ hai) bao gồm 3 bài toán tự luận. Thời gian làm bài là 180 phút, đề bao gồm lời giải chi tiết và thang điểm.

Trích dẫn đề thi:

+ Trên một đường thẳng có 20 điểm P1, P2, ... P20 được sắp xếp theo thứ tự, mỗi điểm được tô bằng màu xanh hoặc đỏ. Câu hỏi đặt ra là có bao nhiêu cách tô màu sao cho nếu số điểm liền kề được tô giống nhau thì luôn là một số lẻ?

+ Cho P(x) là một đa thức hệ số nguyên và năm số nguyên phân biệt x1, x2, x3, x4, x5 thỏa điều kiện P(xi) = 5 với i = 1, 2, 3, 4, 5. Yêu cầu chứng minh rằng không tồn tại số nguyên n nào để -6 ≤ P(n) ≤ 4 hoặc 6 ≤ P(n) ≤ 16.

+ Cho x1, x2, ... xk; y1, y2, ... yn là các số nguyên phân biệt (với k, n là số nguyên dương) sao cho tồn tại đa thức hệ số nguyên P(x) thỏa điều kiện: P(x1) = P(x2) = ... = P(xk) = 58 và P(y1) = P(y2) = ... = P(yn) = 2017. Bạn cần xác định giá trị lớn nhất của kn.

Bình luận (0)
Nhấn vào đây để đánh giá
Thông tin người gửi
2.01339 sec| 2402.922 kb