Đề thi cuối học kì 2 (HK2) lớp 8 môn Toán năm 2020 2021 phòng GD ĐT quận 7 TP HCM

Đề thi cuối học kì 2 (HK2) lớp 8 môn Toán năm 2020 2021 phòng GD ĐT quận 7 TP HCM
Mời thí sinh CLICK vào liên kết hoặc ảnh bên dưới Mở ứng dụng Shopee để tiếp tục làm bài thi
https://s.shopee.vn/AKN2JyAJAw
sytu.net và đội ngũ nhân viên xin chân thành cảm ơn!

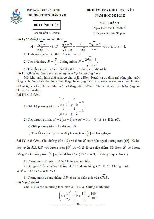
Nội dung Đề thi cuối học kì 2 (HK2) lớp 8 môn Toán năm 2020 2021 phòng GD ĐT quận 7 TP HCM Bản PDF

Đề thi cuối học kì 2 (HK2) lớp 8 môn Toán năm 2020-2021

Xin chào quý thầy, cô giáo và các em học sinh lớp 8! Hôm nay Sytu xin giới thiệu đến bạn đề thi cuối học kỳ 2 môn Toán lớp 8 năm học 2020-2021 của phòng GD&ĐT quận 7, thành phố Hồ Chí Minh.

Dưới đây là một số bài tập trong đề thi:

1. Giải các bất phương trình sau và biểu diễn tập nghiệm trên trục số:

a) $\sqrt{2x-1} > 3$

b) $x^2 - 5x +6 \leq 0$

2. Ông Tư có mảnh vườn trồng xoài hình chữ nhật với chiều dài hơn chiều rộng 20m. Nếu tăng chiều rộng thêm 10m và giảm chiều dài 5m thì diện tích tăng thêm 350m2. Hãy tính diện tích của mảnh vườn nhà ông Tư.

3. Theo tính toán của ông Tư, vườn xoài của ông nếu đạt năng suất thì phải thu hoạch được ít nhất 700 kg trở lên. Năm vừa qua Ông Tư thu hoạch xoài và bán 80% số xoài trong vườn cho lái buôn được 20.000.000 đồng với giá 40.000 đồng/1 kg. Phần còn lại ông để ăn và cho bà con hàng xóm. Hỏi vườn xoài của ông thu được tất cả bao nhiêu kilogam và đã đạt được năng suất như ông mong muốn chưa?

4. Nhà bạn An có một bể cá hình hộp chữ nhật với kích thước như sau: Chiều dài đáy bể là 1,5m, chiều rộng đáy bể là 1,2m và chiều cao của bể là 0,9m. Ba bạn An đổ nước vào bể cá sao cho khoảng cách từ mặt nước đến miệng bể cá là 0,2m. Hỏi ba bạn An đã đổ bao nhiêu lít nước vào bể cá?

Hy vọng đề thi này sẽ giúp các em tổng kết và ôn tập kiến thức Toán một cách hiệu quả. Chúc các em làm tốt bài thi và đạt kết quả cao!

Bình luận (5)

User Google

Em thấy hứng thú và tự tin hơn trong việc ôn tập Toán nhờ tài liệu này, hy vọng sẽ đạt được kết quả tốt trong kỳ thi sắp tới.

Trả lời.

Kiên Phan Trung

Tôi phấn khích và háo hức với việc download file pdf này, cơ hội để ôn tập và nâng cao kiến thức của học sinh lớp 8.

Trả lời.

Dương Minh Khuê

Tài liệu này thực sự là một món quà vô giá dành cho học sinh lớp 8, em rất biết ơn vì đã có đề thi chi tiết và chất lượng như vậy.

Trả lời.

Luu Thien Bao

Em cảm động với sự chu đáo của giáo viên đã biên soạn đề thi này, chắc chắn sẽ giúp em rèn luyện kỹ năng Toán hiệu quả.

Trả lời.

User Google

Tôi rất vui mừng khi thấy tài liệu này vì nó giúp học sinh lớp 8 chuẩn bị tốt cho kỳ thi cuối học kì 2.

Trả lời.
Nhấn vào đây để đánh giá
Thông tin người gửi
1.33065 sec| 2476.164 kb