Đề thi giữa học kì 1 (HK1) lớp 10 môn Toán năm 2020 2021 trường Lương Thế Vinh Hà Nội

Đề thi giữa học kì 1 (HK1) lớp 10 môn Toán năm 2020 2021 trường Lương Thế Vinh Hà Nội

Nội dung Đề thi giữa học kì 1 (HK1) lớp 10 môn Toán năm 2020 2021 trường Lương Thế Vinh Hà Nội Bản PDF

Đề thi giữa học kỳ 1 Toán lớp 10 năm 2020 - 2021 trường Lương Thế Vinh - Hà Nội

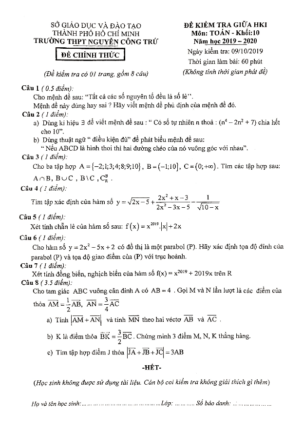
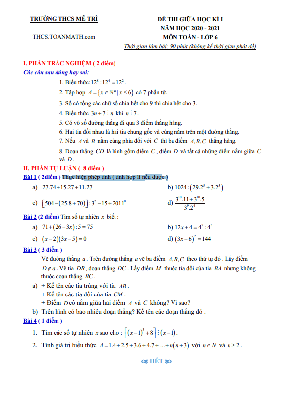
Đề thi giữa học kỳ 1 môn Toán lớp 10 năm 2020 - 2021 của trường Lương Thế Vinh - Hà Nội là một bài thi gồm 50 câu hỏi và bài toán dạng trắc nghiệm khách quan, được đặt trên 04 trang giấy. Thời gian làm bài cho học sinh là 90 phút, không kể thời gian phát đề. Đề thi đi kèm đáp án và lời giải chi tiết để học sinh tự kiểm tra và tự học sau khi thi.

Một ví dụ về câu hỏi trong đề thi: "Một học sinh giải phương trình |x - 1| = 2x (1) theo các bước như sau: Bước 1: Ta có (1) ⇒ |x - 1|2 = 4*2. Bước 2: ⇔ 3*2 + 2x - 1 = 0. Bước 3: ⇔ x ∈ {-1; 1/3}. Bước 4: Vậy phương trình (1) có tập nghiệm là S = {-1; 1/3}. Lời giải trên sai từ bước nào? A. Bước 2. B. Bước 4. C. Bước 1. D. Bước 3."

Đề thi cũng đưa ra bài toán khá phức tạp như: "Biết rằng u và v là hai số thực có tổng bằng 11 và tích bằng -101. Hỏi u và v là các nghiệm của phương trình nào dưới đây?" hay "Trong hệ tọa độ Oxy cho điểm A(4;0) và điểm B(0;5). Điểm M(a;b) thuộc đường thẳng d: y = x sao cho |MA - MB| đạt giá trị lớn nhất. Khẳng định đúng là?"

Đề thi giữa học kỳ 1 Toán lớp 10 năm 2020 - 2021 trường Lương Thế Vinh - Hà Nội là một cơ hội để học sinh thử thách kiến thức và kỹ năng của mình, đồng thời cũng là dịp để rèn luyện tư duy logic và khả năng giải quyết vấn đề.

Bình luận (4)

Lan Anh Nguyễn

Em rất hạnh phúc khi có cơ hội tham gia vào việc giải đề thi này, nó sẽ giúp em nâng cao kiến thức và kỹ năng Toán của mình

Trả lời.

Sùng y nông

Tôi biết ơn những người đã biên soạn và chia sẻ tài liệu này, điều này thật sự hữu ích cho việc ôn tập của học sinh

Trả lời.

User Google

Em cảm thấy vui mừng khi có thể tìm thấy đề thi giữa học kì này, nó sẽ giúp em rèn luyện kỹ năng làm bài thi

Trả lời.

HÀ Thị MInh Thành

Tôi rất phấn khích khi thấy tài liệu này, nó sẽ giúp học sinh lớp 10 ôn tập và chuẩn bị tốt cho kỳ thi sắp tới

Trả lời.
Nhấn vào đây để đánh giá
Thông tin người gửi
1.48826 sec| 2475.539 kb