Đề thi giữa học kì 1 (HK1) lớp 10 môn Toán năm 2023 2024 trường THPT Lý Tự Trọng Khánh Hòa

Đề thi giữa học kì 1 (HK1) lớp 10 môn Toán năm 2023 2024 trường THPT Lý Tự Trọng Khánh Hòa

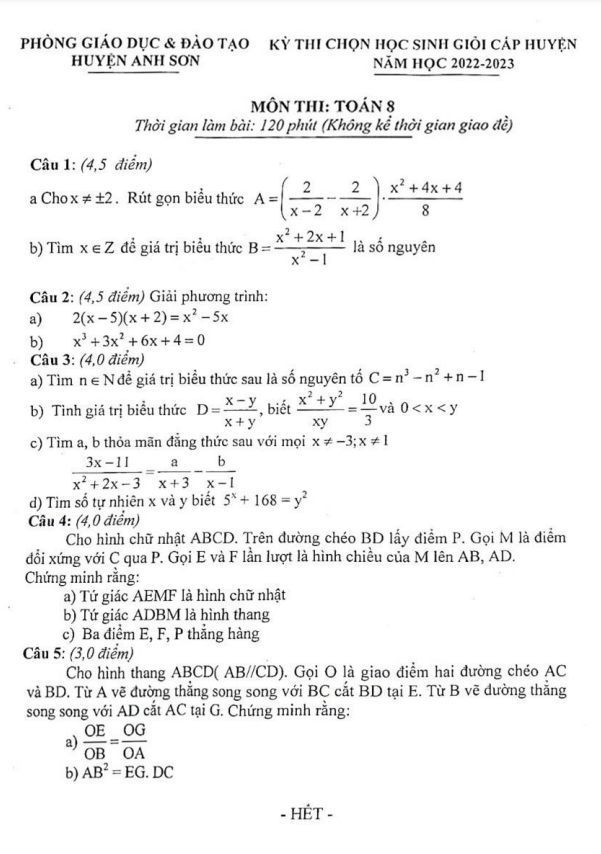
Nội dung Đề thi giữa học kì 1 (HK1) lớp 10 môn Toán năm 2023 2024 trường THPT Lý Tự Trọng Khánh Hòa Bản PDF

Đề thi giữa học kì 1 (HK1) lớp 10 môn Toán năm 2023 2024 trường THPT Lý Tự Trọng Khánh Hòa

Sytu xin gửi đến quý thầy cô và các em học sinh lớp 10 bài kiểm tra đánh giá giữa học kì 1 môn Toán lớp 10 năm học 2023 – 2024 tại trường THPT Lý Tự Trọng, tỉnh Khánh Hòa. Bài thi được thiết kế đầy đủ với đáp án đi kèm để giúp các em ôn tập và kiểm tra kiến thức của mình.

Bài thi được chuẩn bị kỹ lưỡng với nhiều dạng bài tập, từ dễ đến khó, đảm bảo sẽ đánh giá đúng năng lực của các em học sinh. Hy vọng rằng bài thi sẽ giúp các em tự tin hơn trong quá trình học tập và chuẩn bị cho kì thi cuối kỳ sắp tới.

Bình luận (5)

Võ Văn Thạnh

Em thấy rất háo hức khi được tham gia vào đề thi giữa học kì 1 môn Toán. Đây là dịp để tự kiểm tra và hoàn thiện kiến thức của mình. Chúc mọi người thành công!

Trả lời.

10CP-SN-19- Phạm Đinh Minh Trâm

Tôi tin chắc rằng đề thi giữa học kì 1 môn Toán sẽ mang lại nhiều bất ngờ và thách thức cho học sinh. Hãy cùng nhau cố gắng và đạt kết quả tốt nhất trong bài thi này!

Trả lời.

phan khanh

Em thấy rất cảm động khi nhìn thấy đề thi giữa học kì 1 môn Toán. Đây là cơ hội để em thể hiện bản lĩnh và kiến thức của mình trước mắt thầy cô và bạn bè.

Trả lời.

Hiền Phan Thị Thanh

Tôi tin rằng đề thi giữa học kì 1 môn Toán sẽ là cơ hội tốt để học sinh thể hiện khả năng của mình. Đồng thời, đây cũng là dịp để rèn luyện sự tự tin và kiên định trong học tập.

Trả lời.

Lê Doãn Minh Nhật

Em thấy vui mừng vì có cơ hội làm đề thi giữa học kì 1 môn Toán. Việc ôn tập và làm bài thi sẽ giúp em nâng cao kiến thức và kỹ năng của mình.

Trả lời.
Nhấn vào đây để đánh giá
Thông tin người gửi
0.91049 sec| 2473.711 kb