Đề thi giữa học kì 1 (HK1) lớp 11 môn Toán năm 2022 2023 trường chuyên Vị Thanh Hậu Giang

Đề thi giữa học kì 1 (HK1) lớp 11 môn Toán năm 2022 2023 trường chuyên Vị Thanh Hậu Giang

Nội dung Đề thi giữa học kì 1 (HK1) lớp 11 môn Toán năm 2022 2023 trường chuyên Vị Thanh Hậu Giang Bản PDF

Đề thi giữa học kì 1 (HK1) lớp 11 môn Toán năm 2022-2023 trường chuyên Vị Thanh Hậu Giang

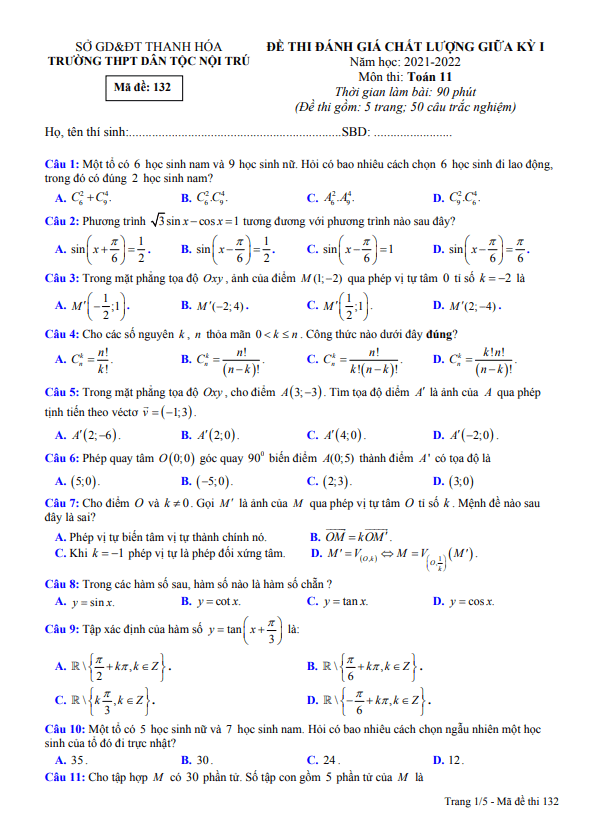
Xin chào quý thầy cô và các em học sinh lớp 11! Hôm nay, Sytu xin giới thiệu đến mọi người đề kiểm tra chất lượng giữa học kì 1 môn Toán lớp 11 năm học 2022-2023 tại trường THPT chuyên Vị Thanh, tỉnh Hậu Giang. Đề thi có mã đề 701 bao gồm 20 câu trắc nghiệm và 03 câu tự luận, được thiết kế với thời gian làm bài 60 phút (không kể thời gian phát đề).

Trích dẫn một số câu hỏi từ đề thi:

+ Trong mặt phẳng với hệ trục tọa độ Oxy, cho điểm M (2;5) và điểm N(-5;2). Phép quay tâm O biến điểm M thành điểm N. Hỏi góc quay của phép quay đó là bao nhiêu?

+ Cho tam giác đều ABC (thứ tự các đỉnh theo chiều quay kim đồng hồ). Với góc quay nào sau đây, phép quay tâm A có thể biến điểm B thành điểm C?

+ Hình nào sau đây có tâm đối xứng? A. Hình thang cân. B. Tam giác đều. C. Ngũ giác đều. D. Hình chữ nhật.

Đề thi này được thiết kế để đánh giá kiến thức và kỹ năng của các em học sinh lớp 11 trong môn Toán. Chúc các em làm bài tốt và đạt kết quả cao!

Bình luận (4)

Nguyễn Ngọc Bảo Hân

Em không thể tin nổi! Đề thi giữa kì 1 năm nay thật sự khó khăn nhưng thách thức. Cám ơn thầy cô đã biên soạn đề thi chất lượng đến vậy!

Trả lời.

nguyen minh duong

Huhu, tôi đã cảm động và rất biết ơn khi tìm thấy đề thi giữa kì 1 môn Toán của lớp 11. Đây chính là cơ hội tốt để em ôn tập và nhận định kỹ năng của mình.

Trả lời.

đinh vũ ạnh thi

Sau khi làm xong đề thi này, cảm giác phấn khích và tự tin hơn rất nhiều. Cảm ơn trường chuyên Vị Thanh đã tổ chức đề thi chất lượng như vậy.

Trả lời.

Sáng Bùi

Vui quá, đề thi giữa kì 1 môn Toán của trường chuyên Vị Thanh năm nay thật là thú vị. Em đã tải file pdf về để ôn tập ngay thôi!

Trả lời.
Nhấn vào đây để đánh giá
Thông tin người gửi
1.44742 sec| 2475.32 kb