Đề thi giữa học kì 1 (HK1) lớp 11 môn Toán năm 2023 2024 trường Phổ thông Năng khiếu TP HCM

Đề thi giữa học kì 1 (HK1) lớp 11 môn Toán năm 2023 2024 trường Phổ thông Năng khiếu TP HCM

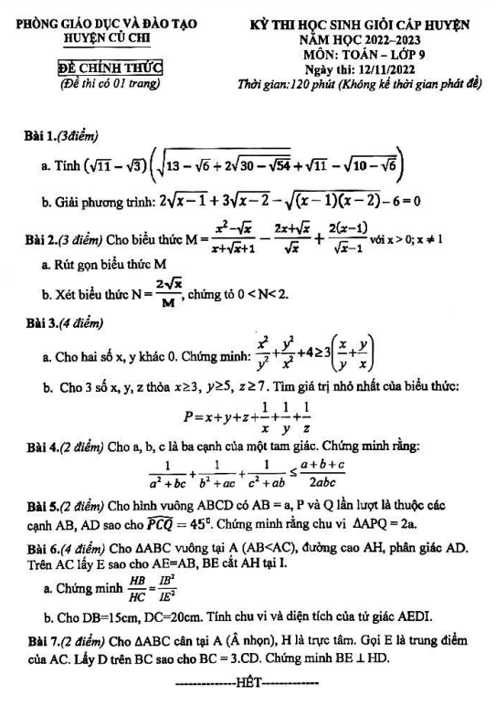
Nội dung Đề thi giữa học kì 1 (HK1) lớp 11 môn Toán năm 2023 2024 trường Phổ thông Năng khiếu TP HCM Bản PDF

Đề thi giữa học kì 1 (HK1) lớp 11 môn Toán năm 2023-2024

Sytu xin gửi đến quý thầy cô giáo và các em học sinh lớp 11 đề kiểm tra giữa học kì 1 môn Toán năm học 2023-2024 của trường Phổ thông Năng khiếu, Đại học Quốc gia thành phố Hồ Chí Minh.

Đề thi gồm các câu hỏi sau:

  1. Hằng ngày, mực nước của một con kênh lên xuống theo thuỷ triều. Độ sâu (m) của mực nước trong kênh tính theo thời gian t(giờ) trong một ngày (0 ≤ t ≤ 24) cho bởi công thức: 3 cos(6πt/12). Hãy tính giá trị lớn nhất của h và tìm t khi h lớn nhất.
  2. Cho hình chóp S.ABCD có đáy ABCD là hình thang với AB // CD và AB = 2CD. Gọi M là trung điểm SA.
    • a) Tìm giao tuyến của (SAC) và (SBD); (SAD) và (SBC).
    • b) Tìm giao điểm E của CM với (SBD). Tính tỉ số CE/CM.
  3. Chứng minh giá trị của A không phụ thuộc vào x, với sin(x) ≠ 0 và cos(x) ≠ 0.

Đề thi chi tiết và đầy đủ được đính kèm trong file WORD dành cho quý thầy cô giáo. Chúc quý thầy cô và các em học sinh có kỳ thi thành công!

Bình luận (5)

Luong Bao Tram

Em rất vui mừng vì đã có tài liệu đề thi giữa học kì 1 môn Toán của trường Phổ thông Năng khiếu TP HCM. Đây là cơ hội tốt để em tự kiểm tra kiến thức và chuẩn bị tốt nhất cho kì thi sắp tới.

Trả lời.

Trần Lê Quý Nhi

Tôi vô cùng háo hức khi tìm thấy đề thi giữa học kì 1 môn Toán năm 2023 2024 của trường Phổ thông Năng khiếu TP HCM. Đây chắc chắn sẽ giúp học sinh nắm vững kiến thức và rèn luyện kỹ năng làm bài.

Trả lời.

Kym

Em rất biết ơn vì đã có tài liệu đề thi giữa học kì 1 môn Toán lớp 11 của trường Phổ thông Năng khiếu TP HCM. Nhờ đây mà em có thêm nguồn tài liệu ôn tập chất lượng.

Trả lời.

kenjumsomeboy

Tôi không thể không cảm động khi thấy sự chu đáo của trường Phổ thông Năng khiếu TP HCM khi cung cấp đề thi giữa học kì môn Toán cho học sinh. Điều này thật sự quý báu đối với học sinh trong quá trình ôn tập.

Trả lời.

hai tran

Em cảm thấy rất vui và hứng thú khi tìm thấy file pdf download của đề thi giữa học kì 1 môn Toán lớp 11. Cảm ơn nhà trường đã chia sẻ tài liệu hữu ích này!

Trả lời.
Nhấn vào đây để đánh giá
Thông tin người gửi
1.43716 sec| 2479.367 kb