Đề thi giữa học kì 1 (HK1) lớp 11 môn Toán năm 2023 2024 trường THPT chuyên Vị Thanh Hậu Giang

Đề thi giữa học kì 1 (HK1) lớp 11 môn Toán năm 2023 2024 trường THPT chuyên Vị Thanh Hậu Giang

Nội dung Đề thi giữa học kì 1 (HK1) lớp 11 môn Toán năm 2023 2024 trường THPT chuyên Vị Thanh Hậu Giang Bản PDF

Đề thi giữa kỳ 1 Toán lớp 11 năm học 2023-2024 trường THPT chuyên Vị Thanh, Hậu Giang

Sytu xin gửi đến quý thầy cô và các em học sinh lớp 11 đề kiểm tra giữa học kỳ 1 môn Toán năm học 2023-2024 của trường THPT chuyên Vị Thanh, tỉnh Hậu Giang. Đề thi bao gồm đáp án và hướng dẫn chấm điểm mã đề 111-118.

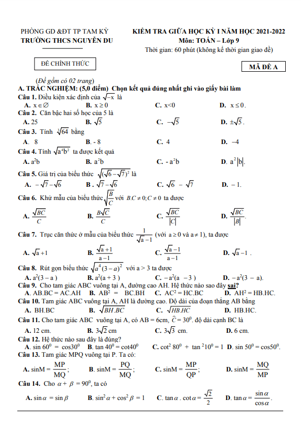
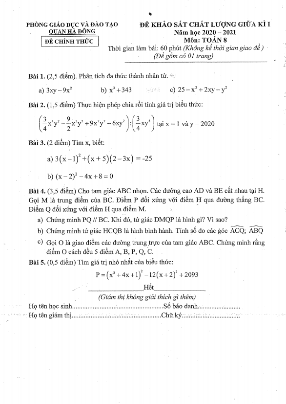
Trích dẫn nội dung của đề thi:

1. Một công ty tuyển công nhân vào đầu tháng 01 của năm mới, lương tháng khởi điểm là 4 triệu đồng và sau mỗi quý (04 tháng) lương tăng thêm 500 nghìn đồng. Tính tổng lương cần chi trả sau 5 năm làm việc.

2. Một công ty khác tuyển công nhân vào đầu tháng 01 của năm, lương tháng khởi điểm là 4 triệu đồng và sau mỗi quý lương tăng 500 nghìn đồng. Tuy nhiên, do dịch Covid 19 năm thứ tư, tiền lương vẫn tăng nhưng bị trừ 5% mỗi tháng. Tính tổng lương nhận được sau 5 năm làm việc.

3. Học sinh cần chọn phương án đúng và điền vào phiếu trả lời. Cho dãy số (un) xác định bởi các số 3, 9, 27, 81,... Tìm công thức số hạng tổng quát của dãy số này?

File WORD cho quý thầy cô: [link download]

Bình luận (5)

vinguyen

Em rất vui mừng khi được trải nghiệm cảm giác học hỏi từ đề thi giữa học kì 1 môn Toán của trường THPT chuyên Vị Thanh Hậu Giang. Đây là cơ hội tuyệt vời để em rèn luyện và nâng cao kiến thức của mình.

Trả lời.

Hoàng Tấn Thiên

Tôi không thể tin được khi thấy tài liệu đề thi giữa học kì 1 môn Toán của trường THPT chuyên Vị Thanh Hậu Giang đã được công bố. Đây chắc chắn là tin vui với tất cả học sinh.

Trả lời.

Hoàng Thị Thảo Hiền

Em rất biết ơn về việc có thể dễ dàng truy cập và tải về đề thi giữa học kì 1 môn Toán năm 2023 2024 từ trường THPT chuyên Vị Thanh Hậu Giang. Đây thực sự là một cơ hội quý báu để em nắm vững kiến thức.

Trả lời.

Huyền

Tôi luôn kích động khi đọc qua các đề thi từ trường THPT chuyên Vị Thanh Hậu Giang. Đây là nguồn tài nguyên quý giá để học sinh rèn luyện và nâng cao kiến thức của mình.

Trả lời.

Phan Thị Hương Lan

Em cảm thấy hào hứng với việc có cơ hội tải về và ôn tập đề thi giữa học kì 1 môn Toán từ trường THPT chuyên Vị Thanh Hậu Giang. Cảm ơn trường đã chia sẻ tài liệu hữu ích này.

Trả lời.
Nhấn vào đây để đánh giá
Thông tin người gửi
0.87615 sec| 2483.805 kb