Đề thi giữa học kì 1 (HK1) lớp 11 môn Toán năm 2023 2024 trường THPT Hiệp Hòa 2 Bắc Giang

Đề thi giữa học kì 1 (HK1) lớp 11 môn Toán năm 2023 2024 trường THPT Hiệp Hòa 2 Bắc Giang

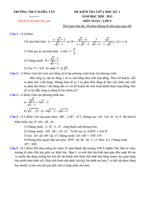
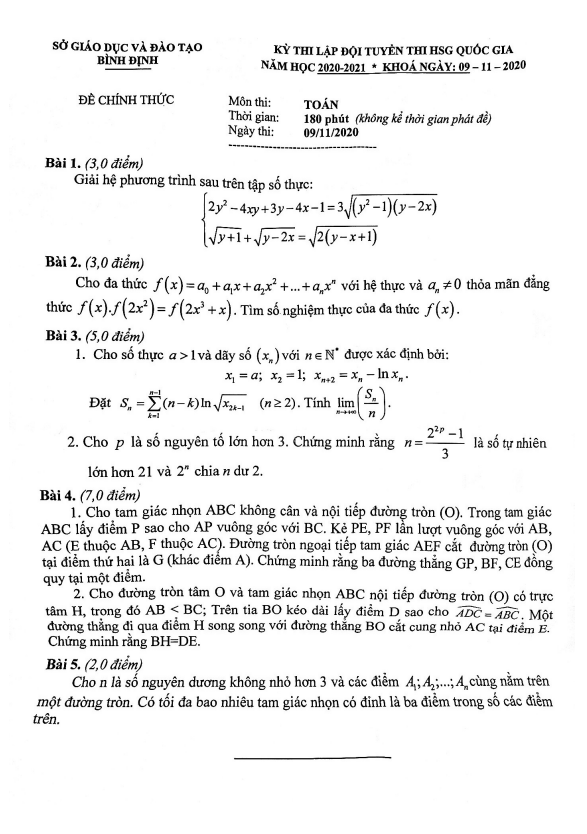
Nội dung Đề thi giữa học kì 1 (HK1) lớp 11 môn Toán năm 2023 2024 trường THPT Hiệp Hòa 2 Bắc Giang Bản PDF

Đề thi giữa học kì 1 (HK1) lớp 11 môn Toán năm 2023-2024 tại trường THPT Hiệp Hòa 2 Bắc Giang

Xin chào quý thầy cô và các em học sinh lớp 11! Hôm nay Sytu xin giới thiệu đến các bạn đề kiểm tra chất lượng giữa học kì 1 môn Toán lớp 11 năm học 2023-2024 tại trường THPT Hiệp Hòa 2, tỉnh Bắc Giang.

Đề thi bao gồm 03 trang, với hình thức 50% trắc nghiệm (20 câu) và 50% tự luận (03 câu), thời gian làm bài là 90 phút (không kể thời gian phát đề). Đề thi cũng có đáp án và hướng dẫn chấm điểm mã đề 101, 103, 105, 107, 102, 104, 406, 108.

Dưới đây là một số câu hỏi mẫu từ đề thi:
1. Cho hình chóp S.ABCD có đáy ABCD là hình bình hành. Gọi G là trọng tâm của tam giác ABD; điểm K trên cạnh SB sao cho KB = SK/2.
a) Tìm giao tuyến của hai mặt phẳng (SBG) và (SAD).
b) Chứng minh rằng GK // SAD.

2. Tìm tất cả các giá trị của x sao cho sinx = 2cosx = 2sin5x = sinx.cosx = 1, theo thứ tự lập thành cấp số cộng.

3. Cho hình chóp S.ABCD có ABCD là hình thang cân đáy lớn AD. M, N lần lượt là hai trung điểm của AB và CD. P là mặt phẳng qua MN và cắt mặt bên SBC theo một giao tuyến. Thiết diện của P và hình chóp là hình gì?
A. Hình vuông
B. Hình chữ nhật
C. Hình bình hành
D. Hình thang

Để biết thêm chi tiết, hãy tải file WORD để tham khảo. Chúc các em học sinh thành công trong kỳ thi sắp tới!

Bình luận (4)

Thế Bảo Trần

Em rất cảm động và quý trọng bộ đề thi giữa học kì 1 môn Toán lớp 11 từ trường THPT Hiệp Hòa 2 Bắc Giang. Đây chính là cơ hội tốt để em kiểm tra khả năng của mình và nâng cao điểm số.

Trả lời.

Nhật Minh Vũ

Tôi muốn bày tỏ lòng biết ơn sâu sắc đến nhà trường đã chuẩn bị đề thi giữa học kì 1 môn Toán lớp 11 năm 2023 2024. Những bài tập và câu hỏi trong đề thi sẽ giúp học sinh rèn luyện, nắm vững kiến thức.

Trả lời.

Mỹ Lê

Em thấy rất vui và phấn khích vì có cơ hội thử sức với đề thi giữa học kì 1 môn Toán lớp 11 từ trường THPT Hiệp Hòa 2 Bắc Giang. Đây chắc chắn là một cơ hội tốt để em rèn luyện kỹ năng và kiến thức của mình.

Trả lời.

tnschsa132

Tôi rất háo hức khi thấy có đề thi giữa học kì 1 môn Toán lớp 11 năm 2023 2024 từ trường THPT Hiệp Hòa 2 Bắc Giang. Đề thi này sẽ giúp cho các em học sinh có cơ hội ôn tập và kiểm tra kiến thức của mình.

Trả lời.
Nhấn vào đây để đánh giá
Thông tin người gửi
1.67797 sec| 2475.695 kb