Đề thi giữa học kì 1 (HK1) lớp 11 môn Toán năm 2023 2024 trường THPT Ngô Mây Bình Định

Đề thi giữa học kì 1 (HK1) lớp 11 môn Toán năm 2023 2024 trường THPT Ngô Mây Bình Định

Nội dung Đề thi giữa học kì 1 (HK1) lớp 11 môn Toán năm 2023 2024 trường THPT Ngô Mây Bình Định Bản PDF

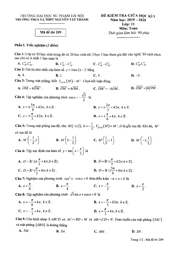
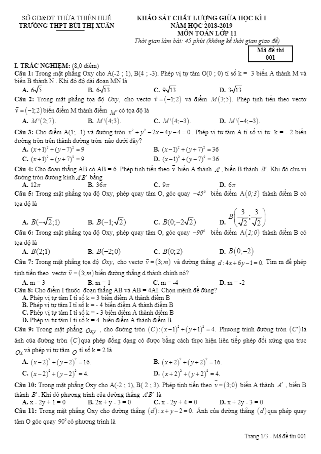
Nội dung về đề thi giữa học kì 1 môn Toán lớp 11 năm 2023 - 2024 trường THPT Ngô Mây Bình Định đã được Sytu giới thiệu đến quý thầy cô và các em học sinh. Đề kiểm tra bao gồm các câu hỏi phức tạp, đòi hỏi kiến thức và kỹ năng tính toán của học sinh.

Trong đề thi, đề cập đến bài toán về việc xây dựng bức tường bằng gạch với xi măng, yêu cầu học sinh tính số lượng viên gạch cần sử dụng. Bài toán thứ hai liên quan đến việc tính trung vị của mẫu số liệu cân nặng của các thành viên trong câu lạc bộ thể thao. Cuối cùng, đề thi còn đề cập đến việc tính tiền điện theo hình thức lũy tiến, yêu cầu học sinh tính toán số tiền ông An phải đóng cho tháng 1.

Những bài toán này giúp học sinh rèn luyện khả năng tư duy logic, phân tích và tính toán. Đồng thời, cũng giúp học sinh áp dụng kiến thức toán học vào thực tế, từ đó phát triển kỹ năng giải quyết vấn đề trong cuộc sống hàng ngày.

Tổng kết, đề thi giữa kì 1 môn Toán lớp 11 năm 2023 - 2024 trường THPT Ngô Mây Bình Định là cơ hội để học sinh thử thách bản thân, nâng cao kiến thức và kỹ năng toán học của mình. Chúc các em học sinh có kết quả tốt trong kỳ thi sắp tới!
Bình luận (5)

An Khánh

Em cảm thấy biết ơn vô cùng với sự nỗ lực và tận tâm của trường THPT Ngô Mây Bình Định khi cung cấp đề thi giữa học kì 1 môn Toán. Điều này giúp em có điều kiện hoàn thiện và nâng cao kiến thức của mình.

Trả lời.

Thanh Phạm

Tôi rất phấn khích khi thấy trường THPT Ngô Mây Bình Định chia sẻ đề thi giữa học kì 1 môn Toán năm 2023 2024. Điều này thực sự giúp học sinh có thêm tài liệu hữu ích để ôn tập và chuẩn bị cho kì thi sắp tới.

Trả lời.

jocasta la

Em rất hạnh phúc khi được tiếp cận với tài liệu đề thi giữa học kì 1 môn Toán của trường THPT Ngô Mây Bình Định. Đây là cơ hội tuyệt vời để em ôn tập và kiểm tra kiến thức của mình.

Trả lời.

Ai Nhớ Nhung

Tôi không thể không cảm động trước sự hỗ trợ và chia sẻ từ trường THPT Ngô Mây Bình Định khi cung cấp đề thi giữa học kì 1 môn Toán cho học sinh. Điều này thực sự đầy ý nghĩa và ý chí.

Trả lời.

Trần thị xuân huỳnh

Em rất vui mừng khi thấy trường THPT Ngô Mây Bình Định chia sẻ đề thi giữa học kì 1 môn Toán. Điều này giúp em có cơ hội rèn luyện và nâng cao kiến thức của mình.

Trả lời.
Nhấn vào đây để đánh giá
Thông tin người gửi
1.47637 sec| 2479.695 kb