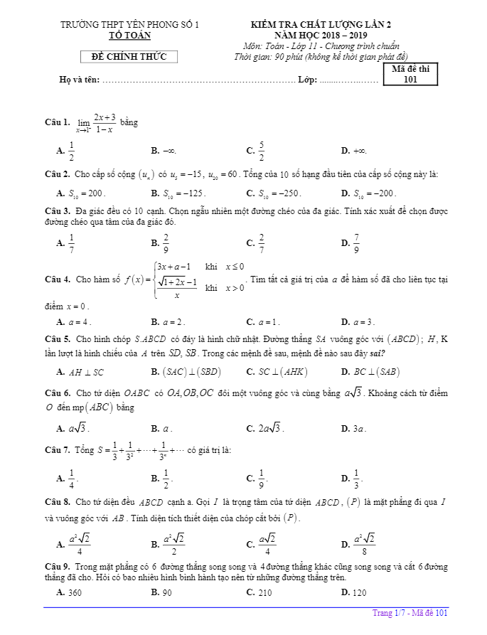
Đề thi giữa học kì 1 (HK1) lớp 12 môn Toán năm 2021 2022 trường THPT Lương Ngọc Quyến Thái Nguyên

Đề thi giữa học kì 1 (HK1) lớp 12 môn Toán năm 2021 2022 trường THPT Lương Ngọc Quyến Thái Nguyên

Nội dung Đề thi giữa học kì 1 (HK1) lớp 12 môn Toán năm 2021 2022 trường THPT Lương Ngọc Quyến Thái Nguyên Bản PDF

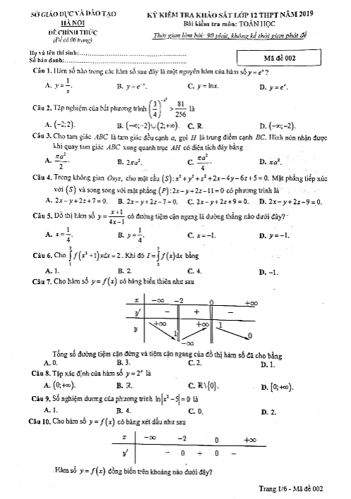
Đề thi giữa kì 1 Toán lớp 12 năm 2021 - 2022 trường THPT Lương Ngọc Quyến - Thái Nguyên

Đề thi giữa kì 1 Toán lớp 12 năm 2021 - 2022 trường THPT Lương Ngọc Quyến - Thái Nguyên bao gồm 50 câu trắc nghiệm trải đều trên 07 trang, thời gian làm bài là 90 phút. Đề thi cung cấp đáp án để học sinh kiểm tra và tự đánh giá kết quả của mình.

Trích một số câu hỏi từ đề thi:

+ Trong các mệnh đề sau, mệnh đề nào đúng?

A. Tồn tại một hình đa diện có số cạnh nhỏ hơn 6.

B. Số đỉnh của mọi hình đa diện luôn lớn hơn 4.

C. Tồn tại một hình đa diện có số cạnh gấp hai lần số đỉnh.

D. Số đỉnh và số mặt của mọi hình đa diện luôn luôn bằng nhau.

+ Gọi M và N lần lượt là giá trị nhỏ nhất và lớn nhất của hàm số \(y = 4x^2 - 3x\) trên đoạn [0,2], thì M + N bằng bao nhiêu?

Đề thi này đòi hỏi học sinh phải áp dụng kiến thức đã học để giải quyết các bài toán phức tạp, từ đó phản ánh kỹ năng giải toán và hiểu biết của họ trong môn Toán. Đồng thời, việc cung cấp đáp án giúp học sinh tự kiểm tra và cải thiện kết quả học tập của mình.

Bình luận (5)

Pep

Em không thể không cảm thấy hồi hộp và háo hức khi nhìn thấy đề thi giữa học kì 1 môn Toán. Đây là cơ hội để em thử thách bản thân và nâng cao kỹ năng giải bài toán của mình.

Trả lời.

Luân kia Kia

Tôi đã xem qua đề thi giữa học kì 1 môn Toán của trường THPT Lương Ngọc Quyến và thấy rất ấn tượng với cách biên soạn và cấu trúc của đề. Đây chắc chắn là một tài liệu quý giá cho học sinh trong quá trình ôn tập.

Trả lời.

Nguyễn Phạm Vi Thảo

Em tin rằng việc có thể tải xuống file pdf của đề thi giữa học kì 1 môn Toán là một cơ hội lớn. Điều này giúp em luyện tập làm bài và nâng cao kiến thức của mình một cách hiệu quả.

Trả lời.

Nguyễn thái sơn

Tôi cảm thấy rất biết ơn vì trường THPT Lương Ngọc Quyến đã chia sẻ đề thi giữa học kì 1 môn Toán. Điều này giúp học sinh hiểu rõ hơn về cấu trúc đề thi và có sự chuẩn bị tốt hơn cho bài thi sắp tới.

Trả lời.

Vũ Tường Vi

Em thật sự rất phấn khích khi có cơ hội thử sức với đề thi giữa học kì 1 môn Toán năm nay. Đây là một cơ hội tốt để tự kiểm tra kiến thức và rèn luyện kỹ năng làm bài.

Trả lời.
Nhấn vào đây để đánh giá
Thông tin người gửi
0.91271 sec| 2483.898 kb