Đề thi giữa học kì 1 (HK1) lớp 12 môn Toán năm 2023 2024 trường chuyên Hùng Vương Phú Thọ

Đề thi giữa học kì 1 (HK1) lớp 12 môn Toán năm 2023 2024 trường chuyên Hùng Vương Phú Thọ

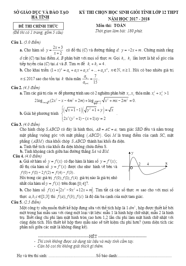
Nội dung Đề thi giữa học kì 1 (HK1) lớp 12 môn Toán năm 2023 2024 trường chuyên Hùng Vương Phú Thọ Bản PDF

Đề thi giữa học kì 1 (HK1) lớp 12 môn Toán năm 2023-2024 trường chuyên Hùng Vương Phú Thọ

Xin chào quý thầy cô và các em học sinh lớp 12! Hôm nay, chúng ta sẽ cùng tìm hiểu về đề kiểm tra giữa học kỳ 1 môn Toán lớp 12 tại trường THPT chuyên Hùng Vương, tỉnh Phú Thọ. Kỳ thi sẽ diễn ra vào ngày 25 tháng 10 năm 2023, với nhiều câu hỏi thú vị và bổ ích.

Trích dẫn một số câu hỏi từ đề thi:

  • Cho hình chóp S ABC có đáy ABC là tam giác vuông tại A. Hình chiếu của S lên mặt phẳng (ABC) là trung điểm H của BC AB a AC a 3 SB a 2. Thể tích của khối chóp S ABC theo a.
  • Gọi M m lần lượt là giá trị lớn nhất và giá trị nhỏ nhất của hàm số 1 x m y x trên đoạn [1;2]. Tìm các giá trị thực của tham số m để 2 2 M m 2.
  • Cho hàm số 6 5 24 y x mx m x 2 4 16 2023. Tìm các giá trị nguyên dương của m để hàm số đã cho đạt cực tiểu tại x = 0.

Đề thi cung cấp cả đáp án trắc nghiệm và hướng dẫn chấm điểm tự luận, giúp các em học sinh tự tin làm bài và kiểm tra kiến thức của mình. Chúc quý thầy cô và các em học sinh có một kỳ thi thành công và đạt kết quả cao!

Bình luận (5)

Hiep Beo

Tôi cảm thấy vô cùng cảm động khi thấy tài liệu này. Đề thi giữa học kì 1 môn Toán năm 2023 2024 từ trường chuyên Hùng Vương Phú Thọ sẽ giúp học sinh rèn luyện kỹ năng làm bài và tự tin hơn khi đối diện với kỳ thi quan trọng.

Trả lời.

Nguyễn Thị Khánh Linh

Em rất hạnh phúc khi biết mình có thể tải về đề thi giữa học kì 1 môn Toán 2023 2024 của trường chuyên Hùng Vương Phú Thọ. Đây là cơ hội tốt để em rèn luyện kỹ năng làm bài và đánh giá khả năng của mình.

Trả lời.

Hân Bùi

Tôi thấy vui mừng vì tài liệu này cung cấp cho học sinh cơ hội thực hành và kiểm tra kiến thức Toán của mình. Điều này giúp các em nắm vững từng chủ đề và chuẩn bị tốt cho kỳ thi sắp tới.

Trả lời.

Lê Quang Minh

Em rất biết ơn vì đã có file pdf download của đề thi giữa học kì 1 môn Toán 2023 2024 từ trường chuyên Hùng Vương Phú Thọ. Điều này giúp em có cơ hội ôn tập một cách hiệu quả hơn và nâng cao kiến thức của mình.

Trả lời.

Nguyễn Bảo Long

Tôi vô cùng phấn khích khi thấy tài liệu này, đề thi giữa học kì 1 môn Toán năm 2023 2024 của trường chuyên Hùng Vương Phú Thọ. Đây chắc chắn sẽ là nguồn tư liệu hữu ích để giúp học sinh ôn tập và chuẩn bị cho kỳ thi sắp tới.

Trả lời.
Nhấn vào đây để đánh giá
Thông tin người gửi
1.25338 sec| 2475.195 kb