Đề thi giữa học kì 1 (HK1) lớp 12 môn Toán năm 2023 2024 trường THCS THPT Liên Việt Kon Tum

Đề thi giữa học kì 1 (HK1) lớp 12 môn Toán năm 2023 2024 trường THCS THPT Liên Việt Kon Tum

Nội dung Đề thi giữa học kì 1 (HK1) lớp 12 môn Toán năm 2023 2024 trường THCS THPT Liên Việt Kon Tum Bản PDF

Đề thi giữa học kì 1 (HK1) lớp 12 môn Toán năm 2023 2024 trường THCS THPT Liên Việt Kon Tum

Xin chào quý thầy cô và các em học sinh lớp 12! Hôm nay, Sytu xin giới thiệu đến các bạn đề kiểm tra giữa học kỳ 1 môn Toán lớp 12 năm học 2023 – 2024 tại trường THCS&THPT Liên Việt Kon Tum, tỉnh Kon Tum. Đề thi bao gồm các câu hỏi thú vị và thách thức, kèm theo đáp án chi tiết giúp các bạn tự kiểm tra và ôn tập kiến thức một cách hiệu quả.

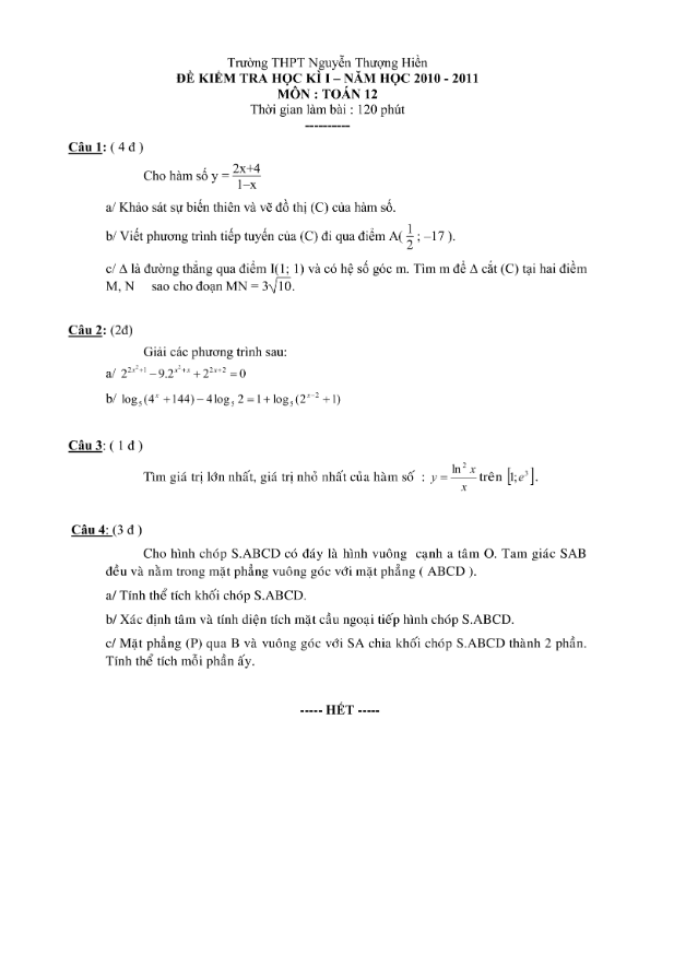
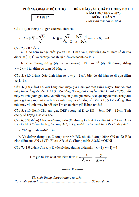
Dưới đây là một số câu hỏi trong đề thi:

+ Cho hàm số y = 2x^2 + mx, với m là tham số thực dương. Biết rằng hàm số có giá trị nhỏ nhất trên đoạn [0; 3] bằng -3. Giá trị m thuộc khoảng nào trong các khoảng cho dưới đây?

+ Cho hàm số bậc bốn trùng phương y = ax^4 + bx^2 + c có đồ thị như hình vẽ sau. Chọn khẳng định sai trong các khẳng định sau: A. Hàm số đồng biến trên khoảng [0,∞) và nghịch biến trên khoảng (-∞, 0). B. Hàm số đạt cực đại tại điểm x = 0 và đạt cực tiểu tại các điểm cỡ 2. C. Đồ thị hàm số đối xứng qua trục tung. D. Đồ thị hàm số không có đường tiệm cận.

+ Cho hình chóp S.ABCD có đáy ABCD hình bình hành. Gọi V là thể tích khối chóp S.ABCD và V1 là thể tích khối chóp S.ABC. Chọn khẳng định đúng trong các khẳng định sau.

Đề thi còn nhiều câu hỏi khác nhau, đa dạng về nội dung và mức độ, giúp các bạn khám phá và áp dụng kiến thức Toán một cách linh hoạt và sáng tạo. Chúc các bạn ôn tập và thi tốt!

Bình luận (5)

Đang cập nhật...

Tôi rất hạnh phúc khi biết mình được hưởng lợi từ tài liệu học tập tuyệt vời này. Chắc chắn rằng những bài tập và câu hỏi trong đề thi sẽ giúp tôi nâng cao khả năng giải toán của mình. Cảm ơn trường THCS THPT Liên Việt Kon Tum rất nhiều!

Trả lời.

Dragon Vietnam

Em rất vui khi có cơ hội tiếp cận với Đề thi giữa học kì 1 năm 2023 2024 của trường. Đây sẽ giúp em rèn luyện kỹ năng và củng cố kiến thức hiệu quả hơn.

Trả lời.

TIÊU HOÀI ÂN

Tôi cảm động trước sự chu đáo của trường THCS THPT Liên Việt Kon Tum khi cung cấp tài liệu học tập chất lượng như vậy. Đây là động lực lớn cho học sinh phấn đấu hơn nữa.

Trả lời.

Nguyễn Tấn Lợi

Em tỏ ra rất biết ơn với bộ đề thi giữa học kì 1 lớp 12 môn Toán này. Điều này giúp em có thêm nguồn tư liệu hữu ích để chuẩn bị cho kỳ thi sắp tới.

Trả lời.

Dương Thảo Vy

Tôi rất phấn khích khi thấy tài liệu Đề thi giữa học kì 1 lớp 12 môn Toán năm 2023 2024 của trường THCS THPT Liên Việt Kon Tum. Đây chắc chắn sẽ là nguồn tài liệu quý giá cho việc ôn tập của học sinh!

Trả lời.
Nhấn vào đây để đánh giá
Thông tin người gửi
1.22282 sec| 2479.992 kb