Đề thi giữa học kì 1 (HK1) lớp 12 môn Toán năm 2023 2024 trường THPT Chu Văn An Kon Tum

Đề thi giữa học kì 1 (HK1) lớp 12 môn Toán năm 2023 2024 trường THPT Chu Văn An Kon Tum

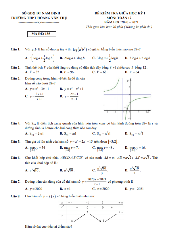
Nội dung Đề thi giữa học kì 1 (HK1) lớp 12 môn Toán năm 2023 2024 trường THPT Chu Văn An Kon Tum Bản PDF

Đề thi giữa học kì 1 (HK1) môn Toán lớp 12 năm 2023 - 2024 tại THPT Chu Văn An Kon Tum

Chào mừng quý thầy cô và các em học sinh lớp 12! Hôm nay, Sytu xin giới thiệu đến các bạn đề kiểm tra giữa học kì 1 môn Toán lớp 12 năm học 2023 - 2024 tại trường THPT Chu Văn An, tỉnh Kon Tum. Đề thi này không chỉ là bài kiểm tra mà còn là cơ hội để các em thực hành và củng cố kiến thức, kỹ năng Toán của mình.

Đề thi bao gồm nhiều dạng bài tập, từ dễ đến khó, đa dạng về chủ đề và mức độ. Qua đề thi này, các em sẽ được thử sức với các bài toán phức tạp, giúp họ rèn luyện tư duy logic và khả năng giải quyết vấn đề. Hy vọng rằng, qua việc làm bài, các em sẽ học thêm được nhiều điều mới và nâng cao kỹ năng Toán của mình.

Hãy tự tin và cố gắng hết mình, các em nhé! Chúc các em đạt kết quả tốt trong kỳ thi này. Cùng nhau học tập, cùng nhau phấn đấu để trở thành những người học sinh giỏi và thành công trong tương lai. Hãy bắt đầu làm bài ngay thôi!

Bình luận (5)

Minh Thy Trần

Em muốn gửi lời cảm ơn sâu sắc tới tác giả của tài liệu này. Đây chính là nguồn lực quan trọng giúp học sinh tự tin và thành công trên con đường học tập của mình.

Trả lời.

Dakota Phenix Trần Eubanks

Tôi đánh giá cao về chất lượng và độ khó của đề thi này. Đây là một tài liệu hữu ích không chỉ dành cho học sinh mà còn cho giáo viên trong việc đánh giá kết quả học tập.

Trả lời.

vũ vượng

Em rất cảm động khi thấy sự chuẩn bị kỹ lưỡng của trường THPT Chu Văn An Kon Tum cho học sinh. Cảm ơn những người đã tạo ra tài liệu này.

Trả lời.

huyền cidy nguyễn

Đề thi này chắc chắn sẽ giúp học sinh nắm vững kiến thức cơ bản và phức tạp. Tôi hạnh phúc khi được tiếp cận với tài liệu giá trị này.

Trả lời.

8. Hằng

Em không thể tin được mình đã có trong tay đề thi giữa học kì 1 môn Toán của trường THPT Chu Văn An Kon Tum. Đây là cơ hội tốt để rèn luyện và nâng cao kiến thức.

Trả lời.
Nhấn vào đây để đánh giá
Thông tin người gửi
1.19574 sec| 2482.102 kb