Đề thi giữa học kì 1 (HK1) lớp 12 môn Toán năm 2023 2024 trường THPT Lê Hồng Phong Quảng Nam

Đề thi giữa học kì 1 (HK1) lớp 12 môn Toán năm 2023 2024 trường THPT Lê Hồng Phong Quảng Nam

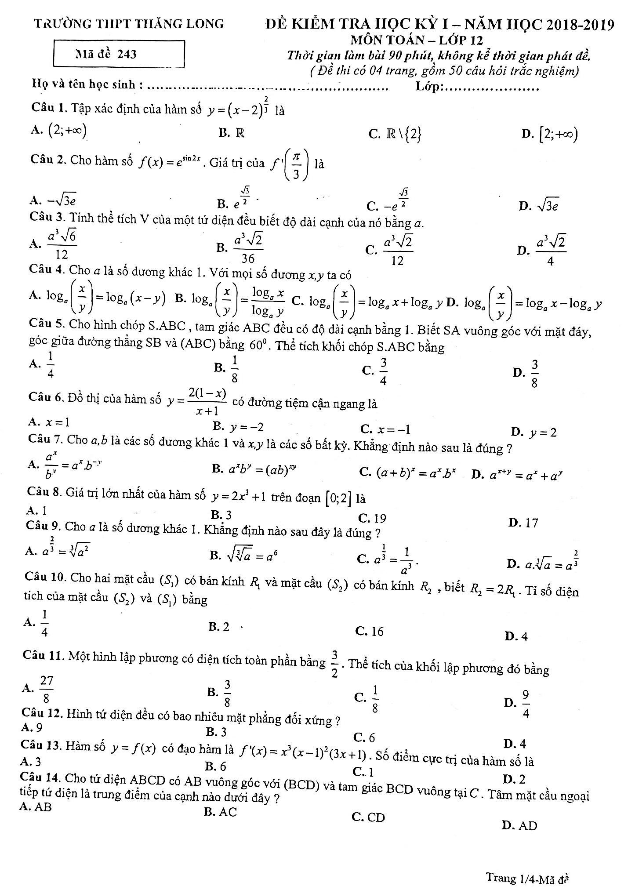
Nội dung Đề thi giữa học kì 1 (HK1) lớp 12 môn Toán năm 2023 2024 trường THPT Lê Hồng Phong Quảng Nam Bản PDF

Đề thi giữa học kì 1 (HK1) lớp 12 môn Toán năm 2023 2024 trường THPT Lê Hồng Phong Quảng Nam

Sytu xin gửi đến các thầy cô giáo và các em học sinh lớp 12 đề kiểm tra giữa học kì 1 môn Toán lớp 12 năm học 2023 – 2024 tại trường THPT Lê Hồng Phong, Quảng Nam. Đề thi bao gồm mã đề 101 – 102 – 103 – 104 – 105 – 106 – 107 – 108.

Trích dẫn một số câu hỏi từ đề thi:

+ Ta có hình lập phương ABCD có cạnh bằng a, điểm M là trung điểm cạnh BC và I là tâm hình vuông CDD’C’. Mặt phẳng AMI chia khối lập phương thành hai khối đa diện, trong đó khối đa diện chứa điểm D có thể tích là V. Hỏi giá trị của V là bao nhiêu?

+ Trong hình chóp S ABC, gọi M N P lần lượt là trung điểm của SA SB SC. Tính tỉ số thể tích của 2 khối chóp S MNP và S ABC.

+ Cho hàm số y=fx có đạo hàm trên khoảng K. Mệnh đề nào sau đây là đúng? f'(x) với mọi x thuộc K thì hàm số fx đồng biến trên K.

File WORD (dành cho quý thầy, cô): [insert link here]

Hãy thực hành và ôn tập cẩn thận để đạt kết quả tốt trong bài kiểm tra này! Chúc các bạn may mắn và thành công! ????✏️

Bình luận (5)

Vũ Thị Mai Linh

Em hứng khởi để bắt đầu ôn tập và giải đề thi này. Mong rằng em sẽ được đạt được điểm cao trong kì thi sắp tới. Cảm ơn nhà trường và giáo viên đã tạo điều kiện cho em.

Trả lời.

trankhanhha

Tôi tin rằng đề thi giữa học kì 1 của trường THPT Lê Hồng Phong Quảng Nam sẽ giúp học sinh rèn luyện kỹ năng làm bài thi Toán một cách thành thạo.

Trả lời.

41. Minh Thư a3

Em rất biết ơn vì có cơ hội tiếp cận đề thi chất lượng như vậy. Điều này thúc đẩy em nỗ lực học tập hơn để đạt được kết quả tốt trong kỳ thi.

Trả lời.

Huyền Trân Nguyễn

Tôi cảm động với sự chu đáo của nhà trường khi chia sẻ đề thi này cho học sinh. Điều này thể hiện tình cảm và quan tâm đến việc học của học sinh.

Trả lời.

Ma Giang Thái

Em không thể không phấn khích khi thấy có file pdf download của đề thi này. Điều này giúp em có thể tự học tập và chuẩn bị tốt cho kì thi sắp tới.

Trả lời.
Nhấn vào đây để đánh giá
Thông tin người gửi
1.30299 sec| 2483.586 kb