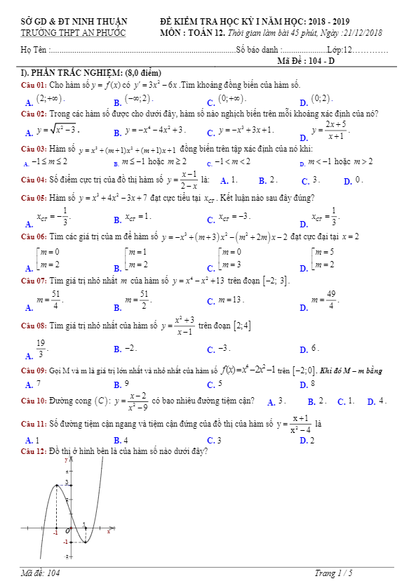
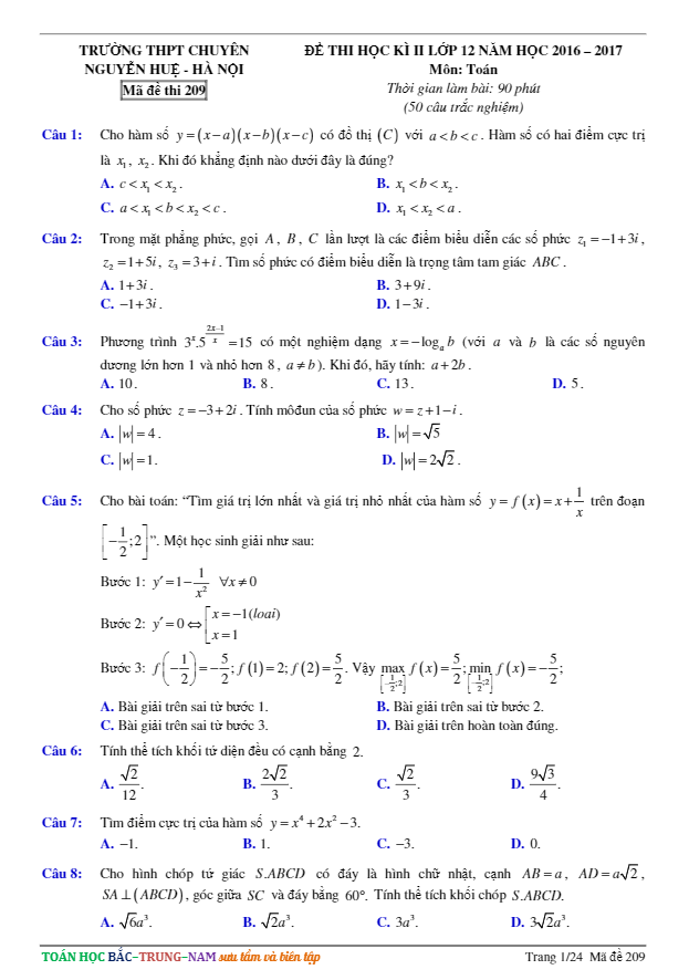
Đề thi giữa học kì 1 (HK1) lớp 12 môn Toán năm 2023 2024 trường THPT Trần Hưng Đạo Hải Phòng

Đề thi giữa học kì 1 (HK1) lớp 12 môn Toán năm 2023 2024 trường THPT Trần Hưng Đạo Hải Phòng

Nội dung Đề thi giữa học kì 1 (HK1) lớp 12 môn Toán năm 2023 2024 trường THPT Trần Hưng Đạo Hải Phòng Bản PDF

Đề thi giữa học kì 1 (HK1) lớp 12 môn Toán năm 2023-2024 trường THPT Trần Hưng Đạo Hải Phòng

Chào quý thầy cô và các em học sinh lớp 12! Hôm nay, Sytu xin giới thiệu đến các bạn đề kiểm tra giữa học kỳ 1 môn Toán lớp 12 năm học 2023-2024 tại trường THPT Trần Hưng Đạo, thành phố Hải Phòng. Đề thi bao gồm các câu hỏi trắc nghiệm và tự luận, kèm theo đáp án và hướng dẫn chấm điểm.

Để được tính thể tích của hình chóp S.ABCD, với đáy ABCD là hình chữ nhật có AB=a, AC=a√5. Đường thẳng SA vuông góc với mặt đáy, cạnh bên SB tạo với mặt đáy một góc 60 độ. Học sinh cần tính toán theo đơn vị a để tìm ra thể tích V của khối chóp S.ABCD.

Trong mặt phẳng tọa độ Oxy, học sinh cần tìm tham số m để đồ thị hàm số y=mx^3-2x^2+3 có hai điểm cực trị sao cho diện tích giữa đồ thị và trục Ox bằng nhau.

Câu hỏi cuối cùng đề cập đến hàm số y=4x^2-2x+3. Học sinh cần phân biệt xem mệnh đề nào sau đây là đúng: A. Đồ thị hàm số có 1 điểm cực đại và 2 điểm cực tiểu. B. Đồ thị hàm số có 1 điểm cực đại và không có điểm cực tiểu. C. Đồ thị hàm số có 1 điểm cực tiểu và 2 điểm cực đại. D. Đồ thị hàm số có 1 điểm cực tiểu và không có điểm cực đại.

Mọi thông tin chi tiết và đáp án chi tiết được ghi trong file WORD đính kèm. Chúc quý thầy cô và các em học sinh lớp 12 có kì thi hiệu quả!
Bình luận (5)

Tien Caoothwnh

Tôi rất ấn tượng với cách trình bày và chất lượng của đề thi giữa học kì 1 môn Toán của trường THPT Trần Hưng Đạo Hải Phòng. Chắc chắn sẽ là một bài thi đầy cảm xúc đối với các học sinh!

Trả lời.

sang sang

Em cảm thấy rất thú vị khi thăm dò nội dung của đề thi này, mong muốn được giải quyết các bài toán thú vị và hóc búa.

Trả lời.

NHUN

Tôi tin rằng đề thi giữa học kì 1 năm 2023 2024 sẽ giúp học sinh nắm vững kiến thức, chuẩn bị tốt cho kỳ thi cuối kì và kỳ thi tốt nghiệp.

Trả lời.

Xuân Thạch Đỗ

Em không thể không tỏ lòng biết ơn đến trường THPT Trần Hưng Đạo Hải Phòng khi cung cấp cho học sinh tài liệu ôn tập chất lượng như thế này.

Trả lời.

LIU

Tôi đánh giá cao nỗ lực của giáo viên trong việc biên soạn đề thi này, đảm bảo sẽ giúp học sinh rèn luyện kỹ năng và kiến thức môn Toán một cách hiệu quả.

Trả lời.
Nhấn vào đây để đánh giá
Thông tin người gửi
1.65322 sec| 2479.836 kb