Đề thi giữa học kì 1 (HK1) lớp 7 môn Toán năm 2021 2022 trường THCS Nguyễn Huệ Quảng Nam

Đề thi giữa học kì 1 (HK1) lớp 7 môn Toán năm 2021 2022 trường THCS Nguyễn Huệ Quảng Nam

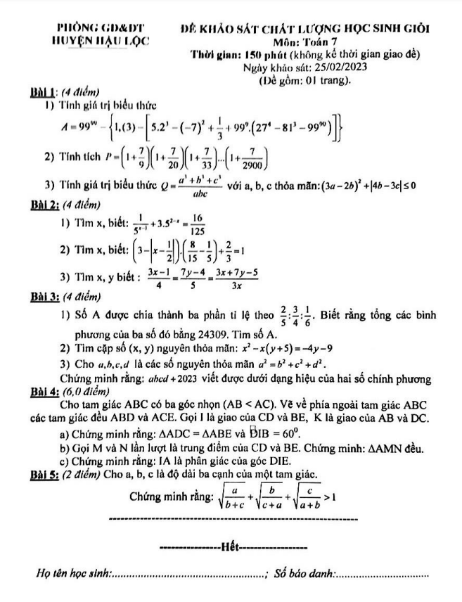
Nội dung Đề thi giữa học kì 1 (HK1) lớp 7 môn Toán năm 2021 2022 trường THCS Nguyễn Huệ Quảng Nam Bản PDF

Đề thi giữa kì 1 Toán lớp 7 năm học 2021 - 2022 trường THCS Nguyễn Huệ - Quảng Nam

Đề thi giữa kỳ 1 môn Toán lớp 7 năm 2021 - 2022 tại trường THCS Nguyễn Huệ - Quảng Nam đã được cung cấp đầy đủ đáp án cũng như lời giải chi tiết. Bài thi cung cấp cho học sinh cơ hội để thử thách kiến thức của mình và đánh giá được năng lực học tập của họ. Đề thi này không chỉ giúp học sinh ôn tập mà còn phát triển kỹ năng giải bài toán, tư duy logic và logic suy luận. Hãy cùng tham gia và thử sức với đề thi thú vị này để nâng cao kiến thức Toán của mình!

Bình luận (5)

đặng duy anh

Tôi không thể không phấn khích trước việc có thể tải về đề thi giữa học kì 1 này. Đây thực sự là một bí quyết để thành công trong học tập của các em học sinh. Cám ơn trường THCS Nguyễn Huệ Quảng Nam!

Trả lời.

Quốc Trường

Chắc chắn rằng tài liệu này sẽ giúp em nâng cao điểm số Toán của mình. Em cam kết sẽ ôn tập chăm chỉ để đạt kết quả tốt trong kỳ thi sắp tới.

Trả lời.

Thinh Phuoc

Xin cảm ơn tất cả các giáo viên và nhà trường đã tạo điều kiện để học sinh có thể truy cập vào đề thi giữa học kì 1 môn Toán này. Chúng em rất biết ơn!

Trả lời.

Hương Hoàng

Em thấy hạnh phúc và biết ơn khi có tài liệu này. Mong rằng sẽ có nhiều tài liệu học tập hữu ích như vậy được chia sẻ trong tương lai.

Trả lời.

Lê hồng bảo ngân

Tôi sẽ chia sẻ tài liệu này với các học sinh của mình. Đây thực sự là một nguồn tài nguyên hữu ích để giúp họ chuẩn bị tốt cho kỳ thi giữa học kì.

Trả lời.
Nhấn vào đây để đánh giá
Thông tin người gửi
0.93673 sec| 2473.414 kb