Đề thi giữa học kì 1 (HK1) lớp 9 môn Toán năm 2020 2021 trường THCS Nghĩa Tân Hà Nội

Đề thi giữa học kì 1 (HK1) lớp 9 môn Toán năm 2020 2021 trường THCS Nghĩa Tân Hà Nội

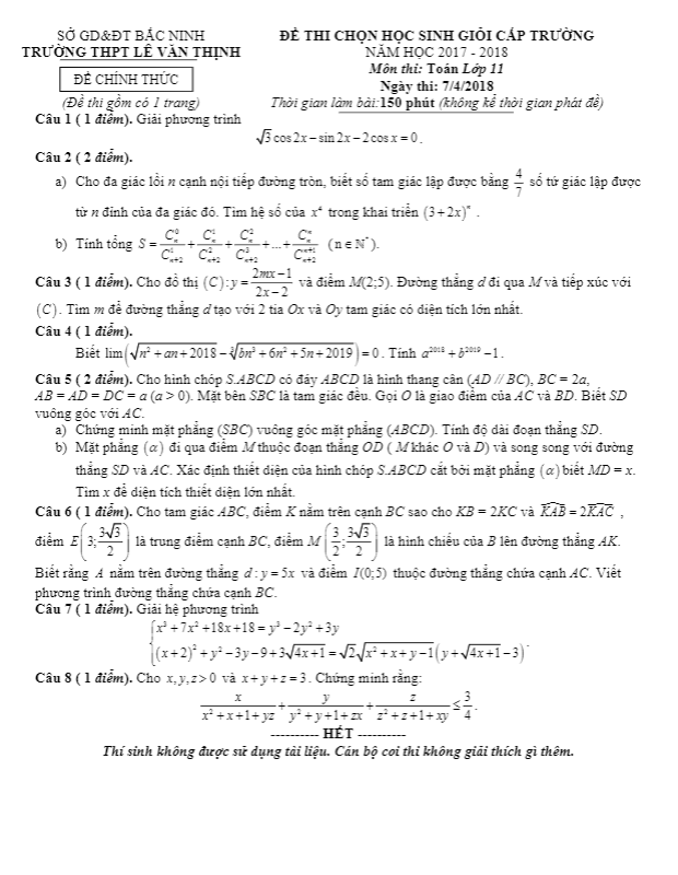
Nội dung Đề thi giữa học kì 1 (HK1) lớp 9 môn Toán năm 2020 2021 trường THCS Nghĩa Tân Hà Nội Bản PDF

Đề thi giữa học kì 1 Toán lớp 9 năm 2020 - 2021 trường THCS Nghĩa Tân Hà Nội

Để đánh giá chất lượng dạy và học môn Toán lớp 9 định kỳ, vào ngày ... tháng 11 năm 2020, trường THCS Nghĩa Tân, Hà Nội đã tổ chức kỳ thi kiểm tra chất lượng giữa học kỳ 1 môn Toán lớp 9 năm học 2020 - 2021.

Đề thi giữa kì 1 Toán lớp 9 năm 2020 - 2021 trường THCS Nghĩa Tân - Hà Nội được thiết kế với hình thức đề thi tự luận, gồm 05 câu, thời gian làm bài là 90 phút. Đề thi bao gồm đáp án và lời giải chi tiết để học sinh tham khảo.

Đề thi có nhiều bài tập thú vị và phù hợp với chương trình học, như bài toán vận tải, bài toán về tam giác, và bài toán tối ưu hóa. Mỗi bài tập đều giúp học sinh rèn luyện kỹ năng suy luận và tính toán logic.

Với Đề thi giữa kì 1 Toán lớp 9 năm 2020 - 2021 trường THCS Nghĩa Tân - Hà Nội, học sinh sẽ có cơ hội thử thách kiến thức và kỹ năng của mình trong môn Toán, từ đó nhận biết được điểm mạnh và yếu để cải thiện hơn trong quá trình học tập.

Qua việc tổ chức kỳ thi này, trường THCS Nghĩa Tân mong muốn thúc đẩy sự phát triển toàn diện cho học sinh và giúp họ chuẩn bị tốt nhất cho bài thi cuối kỳ sắp tới.

Bình luận (5)

Loann Bichh

Tôi rất tự hào về trường THCS Nghĩa Tân và cảm ơn vì đã cung cấp cho chúng tôi tài liệu ôn thi chất lượng như vậy. Chắc chắn rằng học sinh sẽ rèn luyện tốt và đạt kết quả cao trong kì thi sắp tới.

Trả lời.

nam nguyễn duy

Em cảm thấy cảm động khi nhận thấy sự chu đáo và chia sẻ từ phía trường THCS Nghĩa Tân. Điều này giúp học sinh tự tin hơn trong việc học tập và thi cử.

Trả lời.

Nguyễn Hiền

Tôi muốn bày tỏ lòng biết ơn đến tác giả đã biên soạn và chia sẻ tài liệu này. Điều này giúp học sinh có thêm nguồn tài liệu hữu ích để rèn luyện và ôn tập.

Trả lời.

minh thư

Em thực sự rất phấn khích khi có thể tải xuống đề thi này. Cảm giác như mình đang sở hữu một kho báu để ôn tập và nâng cao kiến thức của mình.

Trả lời.

Nhật Tân

Tôi rất vui khi nhận được tài liệu đề thi giữa học kì 1 môn Toán của trường THCS Nghĩa Tân. Đây là cơ hội tuyệt vời để cùng học sinh chuẩn bị tốt cho kì thi sắp tới.

Trả lời.
Nhấn vào đây để đánh giá
Thông tin người gửi
2.10861 sec| 2476.508 kb