Đề thi giữa học kì 1 (HK1) lớp 9 môn Toán năm 2020 2021 trường THCS Nguyễn Trường Tộ Hà Nội

Đề thi giữa học kì 1 (HK1) lớp 9 môn Toán năm 2020 2021 trường THCS Nguyễn Trường Tộ Hà Nội

Nội dung Đề thi giữa học kì 1 (HK1) lớp 9 môn Toán năm 2020 2021 trường THCS Nguyễn Trường Tộ Hà Nội Bản PDF

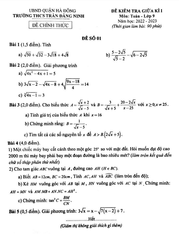
Đề thi giữa học kì 1 lớp 9 môn Toán năm học 2020 - 2021 trường THCS Nguyễn Trường Tộ Hà Nội

Để kiểm tra và đánh giá chất lượng dạy và học môn Toán lớp 9 định kỳ, trường THCS Nguyễn Trường Tộ, Đống Đa, Hà Nội đã tổ chức kỳ thi kiểm tra chất lượng giữa học kỳ 1 vào ngày ... tháng 11 năm 2020.

Đề thi giữa kì 1 môn Toán lớp 9 năm học 2020 - 2021 tại trường này được biên soạn theo dạng đề thi tự luận, bao gồm 5 câu. Thời gian làm bài là 90 phút. Đề thi có đáp án và lời giải chi tiết.

Ví dụ về một câu hỏi trong đề thi:

1. Tòa nhà Burj Khalifa (Các tiểu vương quốc Ả Rập thống nhất) được khánh thành vào ngày 4/1/2010 và là một công trình kiến trúc cao nhất thế giới. Khi ánh sáng mặt trời tạo với mặt đất một góc 37°, bóng của tòa nhà có chiều dài là 1098,79m. Hãy tính chiều cao của tòa nhà (chia kết quả cuối cùng thành phần nguyên và làm tròn đến hai chữ số thập phân).

Các câu hỏi trong đề thi đều được thiết kế để đánh giá kiến thức, kỹ năng và khả năng giải quyết vấn đề của học sinh lớp 9. Việc tham gia vào kỳ thi này sẽ giúp học sinh ôn tập và nâng cao kiến thức môn Toán của mình.

Bình luận (5)

Trinh Duc

Em thực sự háo hức để bắt đầu làm đề thi giữa học kì 1 lớp 9 môn Toán năm 2020 2021 của trường THCS Nguyễn Trường Tộ Hà Nội. Cảm ơn thầy cô và nhà trường đã mang đến cho em cơ hội này.

Trả lời.

Thanh Thủy Nguyễn Thị

Tôi tin rằng việc làm đề thi này sẽ giúp học sinh nắm vững kiến thức và cải thiện kỹ năng làm bài. Đây là một bước quan trọng trước kỳ thi sắp tới và tôi hy vọng học sinh sẽ tận dụng tốt cơ hội này.

Trả lời.

NGÔ VŨ GIA HÂN

Đề thi giữa học kì 1 lớp 9 môn Toán năm 2020 2021 của trường THCS Nguyễn Trường Tộ Hà Nội thực sự là một tài liệu quý giá dành cho học sinh. Em rất biết ơn vì có cơ hội được tiếp cận với nó.

Trả lời.

Huyền Ngọc

Em thấy thật may mắn khi có tài liệu học tập chất lượng như đề thi này. Đây chắc chắn là một cơ hội tốt để em rèn luyện và kiểm tra kiến thức của mình.

Trả lời.

Lê Kim Uyên

Đề thi này rất hữu ích để học sinh ôn tập và kiểm tra kiến thức của mình. Tôi tự tin rằng sau khi làm đề này, học sinh sẽ nâng cao được khả năng làm bài và hiểu biết về môn Toán.

Trả lời.
Nhấn vào đây để đánh giá
Thông tin người gửi
0.83238 sec| 2483.742 kb