Đề thi giữa học kì 2 (HK2) lớp 11 môn Toán Cánh Diều năm 2023 2024 theo định hướng Bộ GD ĐT 2025

Đề thi giữa học kì 2 (HK2) lớp 11 môn Toán Cánh Diều năm 2023 2024 theo định hướng Bộ GD ĐT 2025

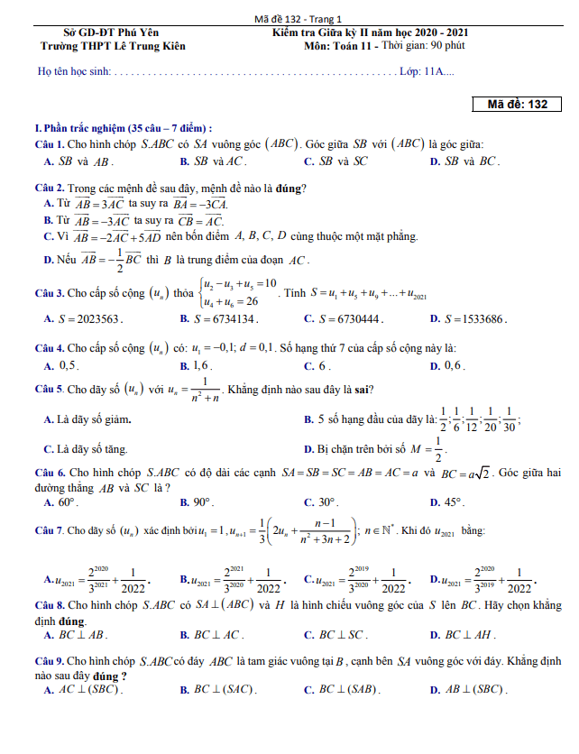
Nội dung Đề thi giữa học kì 2 (HK2) lớp 11 môn Toán Cánh Diều năm 2023 2024 theo định hướng Bộ GD ĐT 2025 Bản PDF

Đề thi giữa học kì 2 (HK2) lớp 11 môn Toán Cánh Diều năm 2023 2024

Tài liệu này bao gồm 31 trang, được biên soạn bởi thầy giáo Phan Nhật Linh, là tuyển tập đề kiểm tra giữa học kỳ 2 môn Toán lớp 11 theo sách Cánh Diều năm học 2023 – 2024, tuân thủ cấu trúc trắc nghiệm mới theo định hướng của Bộ Giáo dục và Đào tạo từ năm 2025.

Đề thi được chia thành 03 phần: 1. PHẦN I: Câu trắc nghiệm nhiều phương án lựa chọn. Thí sinh sẽ trả lời từ câu 1 đến câu 12. Mỗi câu hỏi yêu cầu thí sinh chọn một phương án đúng. 2. PHẦN II: Câu trắc nghiệm đúng sai. Thí sinh sẽ trả lời từ câu 1 đến câu 4. Ở mỗi câu hỏi, thí sinh cần chọn đúng hoặc sai với các ý a – b – c – d. 3. PHẦN III: Câu trắc nghiệm trả lời ngắn. Thí sinh sẽ trả lời từ câu 1 đến câu 6.

Bình luận (5)

Bùi Thanh Kim Phúc

Tôi nhận thấy tài liệu rất đáng giá và chất lượng. Việc có thể truy cập và sử dụng đề thi giữa học kì 2 môn Toán lớp 11 năm 2023 2024 giúp tôi tự tin và thoải mái trong quá trình học tập và ôn thi. Cảm ơn những người đã làm ra tài liệu này.

Trả lời.

Nguyen Thanh Duong

Em không thể không cảm động trước sự chu đáo của người biên tập đã soạn ra bộ đề thi giữa học kì 2 môn Toán lớp 11 này. Đây là điều tuyệt vời cho việc chuẩn bị cho kỳ thi sắp tới.

Trả lời.

LÊ MINH THÁI

Tôi rất biết ơn tác giả đã chia sẻ đề thi giữa học kì 2 môn Toán lớp 11 năm 2023 2024. Đây sẽ là nguồn tư liệu hữu ích cho các em học sinh trong quá trình học tập và ôn thi.

Trả lời.

Ngô Văn Hoàng 16

Em thực sự cảm thấy phấn khích khi có thể tải về đề thi giữa học kì 2 môn Toán lớp 11. Điều này giúp em có thêm tài liệu ôn tập để nắm vững kiến thức và rèn luyện kỹ năng làm bài thi.

Trả lời.

DƯƠNG LÊ THẾ QUỲNH

Tôi rất vui khi có thể tìm thấy đề thi giữa học kì 2 môn Toán lớp 11 theo định hướng mới của Bộ GD ĐT. Đây là cơ hội tuyệt vời để học sinh ôn tập và chuẩn bị tốt cho kỳ thi sắp tới.

Trả lời.
Nhấn vào đây để đánh giá
Thông tin người gửi
1.27039 sec| 2474.898 kb