Đề thi học kì 1 (HK1) lớp 12 môn Toán năm 2018 2019 trường chuyên Lê Hồng Phong Nam Định

Đề thi học kì 1 (HK1) lớp 12 môn Toán năm 2018 2019 trường chuyên Lê Hồng Phong Nam Định

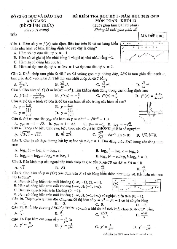
Nội dung Đề thi học kì 1 (HK1) lớp 12 môn Toán năm 2018 2019 trường chuyên Lê Hồng Phong Nam Định Bản PDF

Đề thi học kì 1 (HK1) lớp 12 môn Toán năm 2018 2019 trường chuyên Lê Hồng Phong Nam Định

Đề thi học kì 1 môn Toán lớp 12 năm 2018 2019 của trường chuyên Lê Hồng Phong Nam Định là một trong những đề thi quan trọng đánh giá kiến thức của học sinh. Đề thi này có nhiều bài tập đa dạng, từ cơ bản đến nâng cao, giúp học sinh rèn luyện kỹ năng giải quyết vấn đề và áp dụng kiến thức vào thực tế.

Đề thi được xây dựng để kiểm tra toàn diện khả năng của học sinh trong việc hiểu và áp dụng các kiến thức Toán học. Nội dung của đề thi mang lại sự thử thách và khám phá cho học sinh, giúp họ phát triển tư duy logic và sự sáng tạo.

Với sự phong phú về nội dung và hình thức, đề thi học kỳ 1 môn Toán lớp 12 năm 2018 2019 của trường chuyên Lê Hồng Phong Nam Định không chỉ là bài kiểm tra khả năng của học sinh mà còn là cơ hội để họ thể hiện tài năng và kiến thức của mình một cách xuất sắc.

Bình luận (0)
Nhấn vào đây để đánh giá
Thông tin người gửi
1.78592 sec| 2400.945 kb