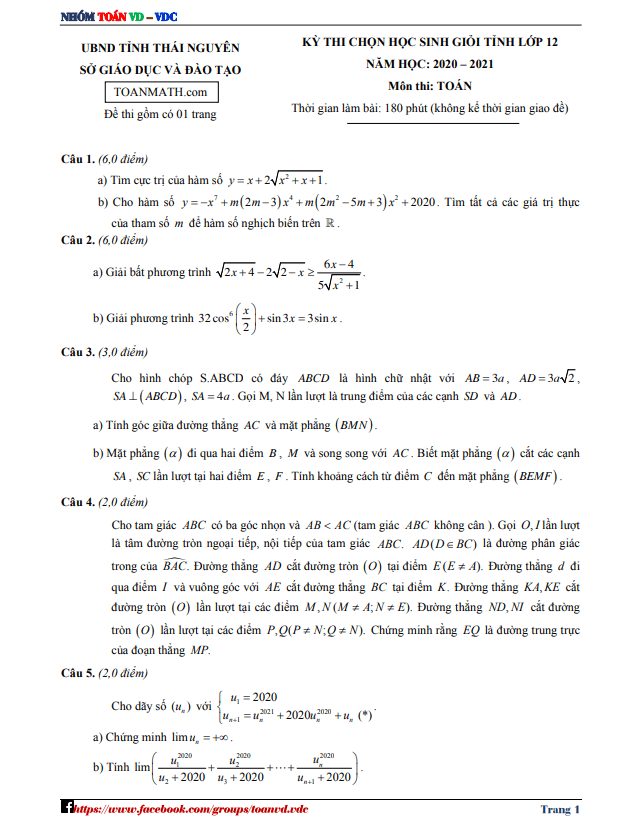
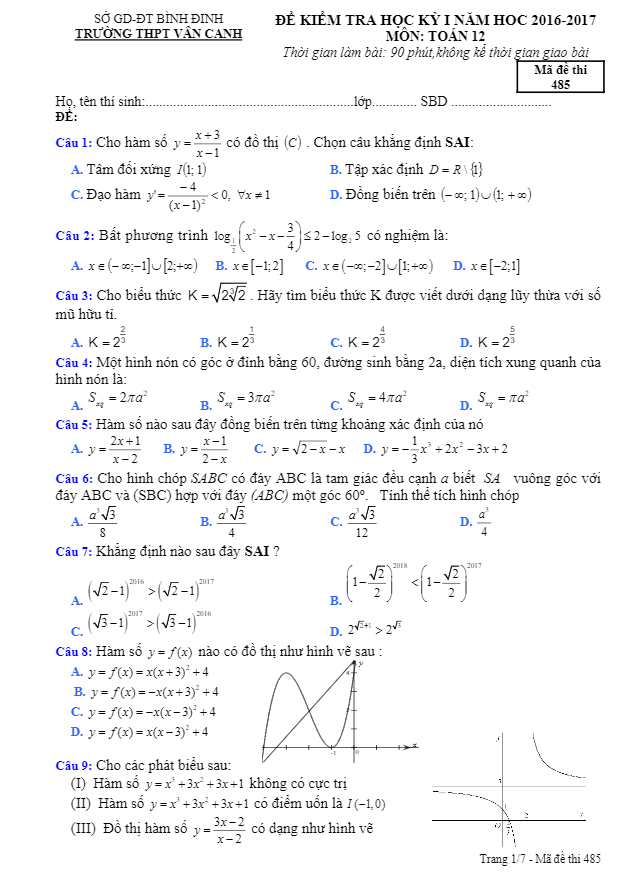
Đề thi học kì 1 (HK1) lớp 12 môn Toán năm 2019 2020 trường THPT An Dương Vương TP HCM

Đề thi học kì 1 (HK1) lớp 12 môn Toán năm 2019 2020 trường THPT An Dương Vương TP HCM

Nội dung Đề thi học kì 1 (HK1) lớp 12 môn Toán năm 2019 2020 trường THPT An Dương Vương TP HCM Bản PDF

Đề thi học kì 1 (HK1) lớp 12 môn Toán năm 2019 2020 trường THPT An Dương Vương TP HCM

Để giúp các em học sinh lớp 12 chuẩn bị cho kỳ thi học kỳ 1 môn Toán, Sytu đã sưu tầm và chia sẻ đến các em nội dung đề thi, đáp án và lời giải chi tiết từ đề thi học kỳ 1 Toán lớp 12 năm học 2019 - 2020 tại trường THPT An Dương Vương, TP Hồ Chí Minh.

Đề thi HK1 Toán lớp 12 năm 2019 - 2020 trường THPT An Dương Vương - TP HCM bao gồm:

1. Công ty muốn thiết kế các thùng đựng dạng hình trụ không nắp, mỗi thùng có thể tích là 3m3. Chi phí làm mặt xung quanh thùng là 400.000 VNĐ/m2, chi phí làm mặt đáy là 300.000 VNĐ/m2. Nếu coi bề dày của thùng không đáng kể và không có yêu cầu gì thêm về kích thước của thùng thì chi phí thấp nhất để làm một cái thùng như trên là bao nhiêu? (Kết quả làm tròn đến hàng đơn vị, đơn vị tiền là VNĐ).

2. Cho hình chóp tam giác S.ABC, tam giác ABC vuông tại B có AB = 2, BC = 2√3. Hình chiếu của đỉnh S lên mặt đáy là trung điểm H của cạnh AC, đường thẳng SB tạo với mặt đáy một góc 60 độ. Hãy tính diện tích xung quanh của khối cầu ngoại tiếp hình chóp S.ABC.

3. Hệ số góc k của tiếp tuyến của đồ thị hàm số y = (2x + 1)/(x - 1) tại tiếp điểm có hoành độ bằng 2 là bao nhiêu?

Bình luận (5)

Phạm Quỳnh anh

Em rất biết ơn với những người đã chia sẻ đề thi học kì 1 môn Toán năm 2019-2020. Đây là dấu ấn quan trọng trong hành trình học tập của em.

Trả lời.

Phong Nguyễn

Tôi cảm thấy rất vui vì đã tìm thấy đề thi học kì 1 môn Toán của trường THPT An Dương Vương. Đây là một nguồn tài liệu quý giá giúp học sinh chuẩn bị tốt cho kỳ thi.

Trả lời.

dat

Em rất hạnh phúc khi biết có tài liệu đề thi học kì 1 môn Toán từ trường THPT An Dương Vương để tham khảo. Chắc chắn rằng đây sẽ giúp em cải thiện kỹ năng giải toán.

Trả lời.

Liam Giang

Tôi không thể không bày tỏ sự cảm động khi thấy đề thi học kì 1 môn Toán của trường THPT An Dương Vương. Đây là cơ hội tuyệt vời cho học sinh tự kiểm tra kiến thức của mình.

Trả lời.

hoidap247.com

Em cảm thấy rất phấn khích khi có cơ hội thử sức với đề thi học kì 1 môn Toán từ trường THPT An Dương Vương. Hy vọng sẽ học được nhiều từ bài kiểm tra này.

Trả lời.
Nhấn vào đây để đánh giá
Thông tin người gửi
1.29986 sec| 2478.875 kb