Đề thi học kì 1 (HK1) lớp 12 môn Toán năm 2023 2024 sở GD ĐT Nam Định

Đề thi học kì 1 (HK1) lớp 12 môn Toán năm 2023 2024 sở GD ĐT Nam Định
Mời thí sinh CLICK vào liên kết hoặc ảnh bên dưới Mở ứng dụng Shopee để tiếp tục làm bài thi
https://s.shopee.vn/AKN2JyAJAw
sytu.net và đội ngũ nhân viên xin chân thành cảm ơn!

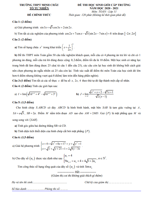
Nội dung Đề thi học kì 1 (HK1) lớp 12 môn Toán năm 2023 2024 sở GD ĐT Nam Định Bản PDF

Đề thi khảo sát chất lượng cuối học kỳ 1 môn Toán lớp 12 năm 2023 - 2024

Sytu xin được giới thiệu đến quý thầy, cô giáo và các em học sinh lớp 12 đề thi khảo sát chất lượng cuối học kỳ 1 môn Toán lớp 12 THPT năm học 2023 - 2024 của sở Giáo dục và Đào tạo tỉnh Nam Định. Kỳ thi sẽ diễn ra vào ngày 27 tháng 12 năm 2023, với đề thi có đáp án trắc nghiệm mã đề 202, 204, 206, 208.

Trong đề thi, có các câu hỏi đa dạng về các chủ đề trong môn Toán. Ví dụ, một câu hỏi đề cập đến việc tính toán lãi suất trong trường hợp người gửi tiền vào ngân hàng. Câu hỏi khác đề cập đến việc tìm giá trị nhỏ nhất của một biểu thức và phân tích các giá trị thực của tham số để giải phương trình.

Đề thi không chỉ giúp học sinh ôn tập kiến thức mà còn khuyến khích họ tư duy logic, giải quyết vấn đề theo cách sáng tạo. Việc giải các bài toán trong đề thi sẽ giúp học sinh rèn luyện kỹ năng suy luận, phân tích và giải quyết vấn đề một cách hiệu quả.

Hy vọng rằng đề thi sẽ mang lại cho các em học sinh lớp 12 một cơ hội để thể hiện kiến thức và kỹ năng trong môn Toán, cũng như khẳng định sự chuẩn bị cho kỳ thi cuối kỳ của mình. Chúc các em thành công và đạt kết quả cao trong kỳ thi sắp tới!

Bình luận (5)

minh triết

Em thực sự rất phấn khích khi có tài liệu Đề thi học kì 1 môn Toán lớp 12 từ sở GD ĐT Nam Định. Đây là nguồn tài liệu quý giá và hữu ích cho việc tự ôn tập của em.

Trả lời.

Trần Hậu

Tài liệu Đề thi học kì 1 môn Toán lớp 12 rất bổ ích và hữu dụng. Tôi xin bày tỏ lòng biết ơn chân thành đến các thầy cô giáo đã nỗ lực soạn thảo tài liệu này.

Trả lời.

Phan Huy Hải GV THCS Phùng Chí Kiên

Em cảm thấy rất vui mừng khi thấy có tài liệu Đề thi học kì 1 môn Toán lớp 12 năm 2023 2024 để ôn tập. Cảm ơn sở GD ĐT Nam Định vì đã chia sẻ tài nguyên quý giá này.

Trả lời.

Nguyen Anh

Tôi thực sự cảm động trước sự tỉ mỉ và chuẩn xác trong việc biên soạn Đề thi học kì 1 môn Toán lớp 12 của sở GD ĐT Nam Định. Đây là một tài liệu không thể thiếu cho mọi học sinh.

Trả lời.

Nguyễn Đăng Hoàng

Em rất hạnh phúc vì có cơ hội truy cập vào tài liệu Đề thi học kì 1 môn Toán lớp 12 năm 2023 2024. Đây chắc chắn sẽ là công cụ hữu ích trong quá trình học tập của em.

Trả lời.
Nhấn vào đây để đánh giá
Thông tin người gửi
1.22286 sec| 2479.492 kb