Đề thi học kì 1 (HK1) lớp 12 môn Toán năm học 2016 2017 sở GD và ĐT Bắc Giang

Đề thi học kì 1 (HK1) lớp 12 môn Toán năm học 2016 2017 sở GD và ĐT Bắc Giang
Mời thí sinh CLICK vào liên kết hoặc ảnh bên dưới Mở ứng dụng Shopee để tiếp tục làm bài thi
https://s.shopee.vn/AKN2JyAJAw
sytu.net và đội ngũ nhân viên xin chân thành cảm ơn!

Nội dung Đề thi học kì 1 (HK1) lớp 12 môn Toán năm học 2016 2017 sở GD và ĐT Bắc Giang Bản PDF

Đề thi Học kì 1 Toán lớp 12 năm học 2016-2017 sở GD và ĐT Bắc Giang

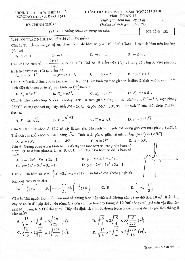
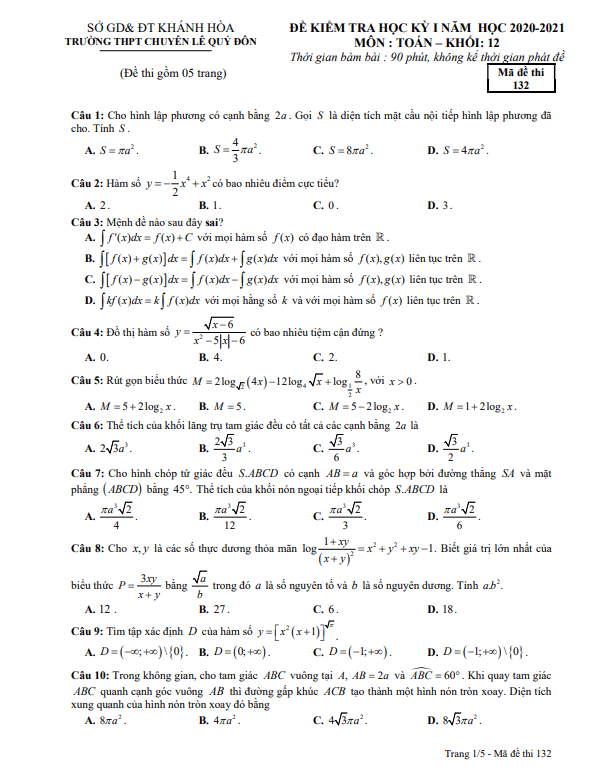
Đề thi Học kì 1 môn Toán lớp 12 năm học 2016-2017 sở GD và ĐT Bắc Giang bao gồm 4 mã đề, mỗi mã đề có 20 câu hỏi trắc nghiệm và 3 câu hỏi tự luận.

Trích một số câu hỏi trong đề:

  1. Một miếng bìa hình tam giác đều ABC, cạnh a=16cm. Học sinh cắt hình chữ nhật MNPQ từ miếng bìa trên (với M, N thuộc cạnh BC, P và Q tương ứng thuộc cạnh AC và AB). Tính diện tích lớn nhất của hình chữ nhật MNPQ.
  2. Thể tích của khối lăng trụ có diện tích đáy B và chiều cao h được tính bằng công thức nào?
  3. Cho hình chóp S.ABCD, có đáy ABCD là hình vuông cạnh a, cạnh bên SA vuông góc với mặt phẳng (ABCD) và SD. a) Tính thể tích khối chóp S.ABCD theo a. b) Tính bán kính mặt cầu đi qua các đỉnh của hình chóp S.ABCD.

Đề thi Học kì 1 Toán lớp 12 năm học 2016-2017 sở GD và ĐT Bắc Giang đưa ra các câu hỏi có tính thực tế và đòi hỏi học sinh phải áp dụng kiến thức đã học để giải quyết. Đề thi giúp học sinh rèn luyện kỹ năng giải quyet vấn đề và thử thách khả năng tư duy logic của họ.

Bình luận (0)
Nhấn vào đây để đánh giá
Thông tin người gửi
1.65560 sec| 2401.938 kb