Đề thi học kì 1 (HK1) lớp 8 môn Toán năm học 2020 2021 sở GD ĐT Vĩnh Phúc

Đề thi học kì 1 (HK1) lớp 8 môn Toán năm học 2020 2021 sở GD ĐT Vĩnh Phúc
Mời thí sinh CLICK vào liên kết hoặc ảnh bên dưới Mở ứng dụng Shopee để tiếp tục làm bài thi
https://s.shopee.vn/AKN2JyAJAw
sytu.net và đội ngũ nhân viên xin chân thành cảm ơn!

Nội dung Đề thi học kì 1 (HK1) lớp 8 môn Toán năm học 2020 2021 sở GD ĐT Vĩnh Phúc Bản PDF

Đề thi học kì 1 Toán lớp 8 năm học 2020 - 2021 sở GD&ĐT Vĩnh Phúc

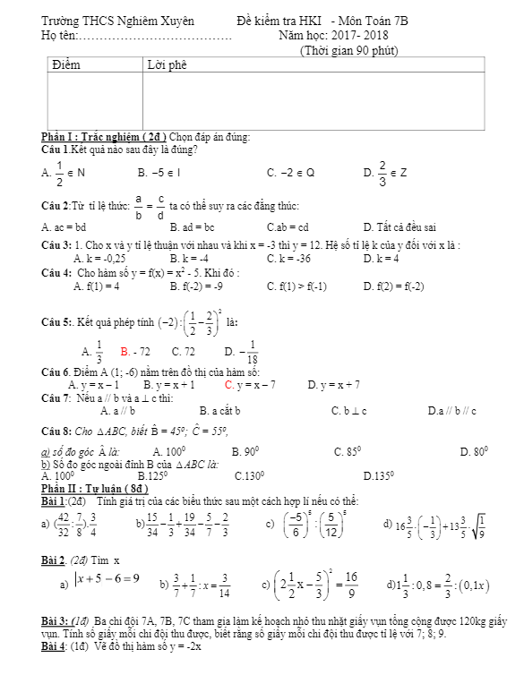
Sytu xin giới thiệu đến quý thầy cô và các em học sinh đề thi học kì 1 môn Toán lớp 8 năm học 2020 - 2021 từ sở GD&ĐT Vĩnh Phúc. Đề thi này được biên soạn theo một cấu trúc đa dạng, kết hợp giữa phần trắc nghiệm và phần tự luận. Phần trắc nghiệm gồm 8 câu, điểm số tổng cộng là 4,0 điểm, trong khi phần tự luận có 4 câu, điểm số chiếm 6,0 điểm. Thời gian làm bài cho đề thi này là 90 phút.

Trích dẫn một số câu hỏi từ đề thi:

  • Cho hình thang ABCD (AB // CD) có độ dài các cạnh AB = 1cm, DC = 5cm. Gọi E, F lần lượt là trung điểm của các cạnh AD và BC. Độ dài đoạn thẳng EF là bao nhiêu?
  • Khẳng định nào sau đây là đúng?
    1. Hình thang là tứ giác có hai cạnh đối song song.
    2. Hình thang là tứ giác có một cặp cạnh đối bằng nhau.
    3. Hình thang là tứ giác có hai đường chéo vuông góc với nhau.
    4. Hình thang là tứ giác có tổng bốn góc bằng 180°.
  • Hai đường chéo của một hình thoi có độ dài lần lượt là 6cm và 8cm. Độ dài cạnh của hình thoi đó là bao nhiêu?

Đề thi học kì 1 Toán lớp 8 năm học 2020 - 2021 sở GD&ĐT Vĩnh Phúc sẽ giúp các em học sinh ôn tập và kiểm tra kiến thức của mình một cách toàn diện. Chúc quý thầy cô và các em học sinh đạt kết quả cao trong kỳ thi sắp tới!

Bình luận (5)

Đào thanh hằng

Với tài liệu này, em tin rằng mình sẽ tự tin hơn khi bước vào kì thi học kì 1. Cảm ơn bạn đã chia sẻ đề thi chất lượng này!

Trả lời.

thùy như

Học Toán không còn là nỗi sợ hãi nữa khi có tài liệu hướng dẫn rõ ràng như thế này. Cảm giác tự tin và phấn khích bao trùm lên!

Trả lời.

Khương Công Quyền

Tài liệu này thật sự là một món quà vô cùng quý giá dành cho học sinh. Cảm ơn tất cả những ai đã đóng góp và chia sẻ!

Trả lời.

Roxana Vanx

Em đang tràn ngập niềm vui khi có thể tải về và tham gia thử sức với đề thi học kì 1 môn Toán lớp 8. Cơ hội này quá tuyệt vời!

Trả lời.

Hảo Trịnh

Tôi không thể tin nổi khi tìm thấy tài liệu này! Đây thật sự là một cơ hội tuyệt vời để rèn luyện kiến thức Toán của học sinh lớp 8

Trả lời.
Nhấn vào đây để đánh giá
Thông tin người gửi
1.03398 sec| 2474.961 kb