Đề thi học kì 1 (HK1) lớp 9 môn Toán năm 2021 2022 trường THCS Nguyễn Huệ TP HCM

Đề thi học kì 1 (HK1) lớp 9 môn Toán năm 2021 2022 trường THCS Nguyễn Huệ TP HCM
Mời thí sinh CLICK vào liên kết hoặc ảnh bên dưới Mở ứng dụng Shopee để tiếp tục làm bài thi
https://s.shopee.vn/AKN2JyAJAw
sytu.net và đội ngũ nhân viên xin chân thành cảm ơn!

Nội dung Đề thi học kì 1 (HK1) lớp 9 môn Toán năm 2021 2022 trường THCS Nguyễn Huệ TP HCM Bản PDF

Đề thi học kỳ 1 Toán lớp 9 năm 2021 - 2022 trường THCS Nguyễn Huệ TP HCM

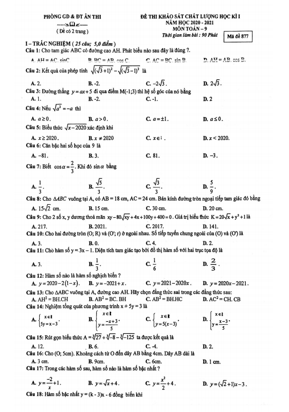
Sytu xin giới thiệu đến quý thầy cô và các em học sinh đề thi học kỳ 1 môn Toán lớp 9 năm học 2021 - 2022 của trường THCS Nguyễn Huệ, trực thuộc quận Tân Phú, thành phố Hồ Chí Minh. Đây là một đề thi quan trọng đánh giá kiến thức, kỹ năng của học sinh sau thời gian học tập đầu năm.

Bình luận (5)

Long Doan

Em thấy rất cảm động vì có một nguồn tài liệu hữu ích như vậy. Mong rằng mọi học sinh đều có thể tận dụng tốt và đạt được kết quả tốt trong kỳ thi sắp tới.

Trả lời.

Ngân Còii

Tôi cảm thấy hứng thú và phấn khích khi nhìn thấy đề thi học kỳ 1 này. Sẽ là cơ hội tốt để ôn tập và nâng cao kiến thức của mình.

Trả lời.

phuc vo

Em không phải lo lắng tìm kiếm đề thi nữa, vì đã có đề thi học kỳ 1 môn Toán của trường THCS Nguyễn Huệ ngay đây. Quá làm tiện!

Trả lời.

Ngọc Thiện 1 Mầm Non

Tôi muốn gửi lời cảm ơn chân thành đến nhà trường đã chia sẻ đề thi này. Chắc chắn sẽ giúp ích đối với việc luyện tập của học sinh.

Trả lời.

Fiona Clark

Em rất vui khi có thể tìm thấy đề thi học kỳ 1 nhanh chóng như thế này. Cảm giác như có một nguồn lực lớn để ôn tập.

Trả lời.
Nhấn vào đây để đánh giá
Thông tin người gửi
1.73929 sec| 2472.141 kb