Đề thi học kì 2 (HK2) lớp 10 môn Toán năm 2019 2020 trường THPT Thanh Đa TP HCM

Đề thi học kì 2 (HK2) lớp 10 môn Toán năm 2019 2020 trường THPT Thanh Đa TP HCM
Mời thí sinh CLICK vào liên kết hoặc ảnh bên dưới Mở ứng dụng Shopee để tiếp tục làm bài thi
https://s.shopee.vn/AKN2JyAJAw
sytu.net và đội ngũ nhân viên xin chân thành cảm ơn!

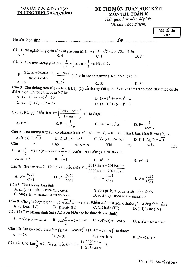
Nội dung Đề thi học kì 2 (HK2) lớp 10 môn Toán năm 2019 2020 trường THPT Thanh Đa TP HCM Bản PDF

Đề thi học kỳ 2 Toán lớp 10 trường THPT Thanh Đa TP HCM

Để giúp các em học sinh lớp 10 chuẩn bị cho đợt kiểm tra cuối học kỳ 2 môn Toán, Sytu giới thiệu đến các em đề thi học kì 2 Toán lớp 10 năm học 2019-2020 của trường THPT Thanh Đa, TP Hồ Chí Minh. Đề thi bao gồm đầy đủ đáp án, lời giải chi tiết và hướng dẫn chấm điểm.

Trích đoạn đề thi học kì 2 Toán lớp 10 năm 2019-2020 trường THPT Thanh Đa TP HCM:

  1. Trong mặt phẳng với hệ tọa độ Oxy, cho hai điểm N, M và đường thẳng d.
    • a) Viết phương trình tham số của đường thẳng d.
    • b) Viết phương trình tổng quát của đường thẳng MN.
    • c) Viết phương trình đường thẳng d' đi qua điểm N và vuông góc với d.
    • d) Tính khoảng cách từ điểm N đến đường thẳng d.
  2. Cho f(x) với m là tham số. Tìm tất cả các giá trị của tham số m để f(x) > 0.
  3. Trong mặt phẳng với hệ tọa độ Oxy, cho đường tròn (C) có phương trình. Tìm tọa độ tâm I và tính bán kính R của đường tròn C.

Đề thi này sẽ giúp các em ôn tập môn Toán hiệu quả, chuẩn bị tốt cho kỳ thi sắp tới. Hãy cùng học và rèn kỹ năng giải bài tập Toán để đạt kết quả tốt nhất!

Bình luận (5)

7A9_12_TRẦN NGỌC TRUNG HIẾU ._?

Em cảm thấy rất hứng thú khi có cơ hội tải về đề thi học kì 2 môn Toán năm 2019 2020 từ trường THPT Thanh Đa. Những bài tập này chắc chắn sẽ giúp em nâng cao kiến thức và kỹ năng giải toán của mình.

Trả lời.

Trang Hà

Tôi thực sự biết ơn và đánh giá cao việc đăng tải đề thi học kì 2 môn Toán của trường THPT Thanh Đa. Điều này giúp học sinh vận dụng kiến thức vào thực hành và chuẩn bị tốt cho kì thi sắp tới.

Trả lời.

Linh Trần

Em rất vui mừng khi được trải nghiệm cảm giác tải về đề thi học kì 2 môn Toán từ trường THPT Thanh Đa. Hy vọng em sẽ học hỏi và phát triển từ bài thi này.

Trả lời.

Khôi Dayy

Tôi không thể không tỏ ra hào hứng khi thấy có đề thi học kì 2 môn Toán tại trường THPT Thanh Đa. Đây là cơ hội tuyệt vời để rèn luyện kiến thức và kỹ năng giải bài tập.

Trả lời.

Hoàng Nguyên

Em rất cảm động vì đã có cơ hội tải về đề thi học kì 2 môn Toán của trường THPT Thanh Đa. Điều này thể hiện sự quan tâm và chia sẻ của nhà trường đối với học sinh.

Trả lời.
Nhấn vào đây để đánh giá
Thông tin người gửi
1.29679 sec| 2474.313 kb