Đề thi học kì 2 (HK2) lớp 11 môn Toán năm 2019 2020 trường THPT chuyên Hạ Long Quảng Ninh

Đề thi học kì 2 (HK2) lớp 11 môn Toán năm 2019 2020 trường THPT chuyên Hạ Long Quảng Ninh

Nội dung Đề thi học kì 2 (HK2) lớp 11 môn Toán năm 2019 2020 trường THPT chuyên Hạ Long Quảng Ninh Bản PDF

Đề thi học kỳ 2 Toán lớp 11 năm 2019 - 2020 trường THPT chuyên Hạ Long Quảng Ninh

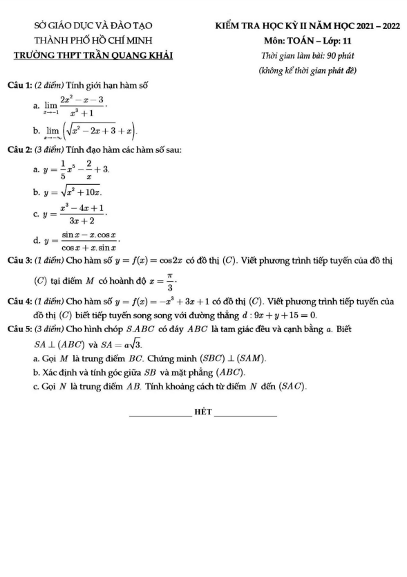
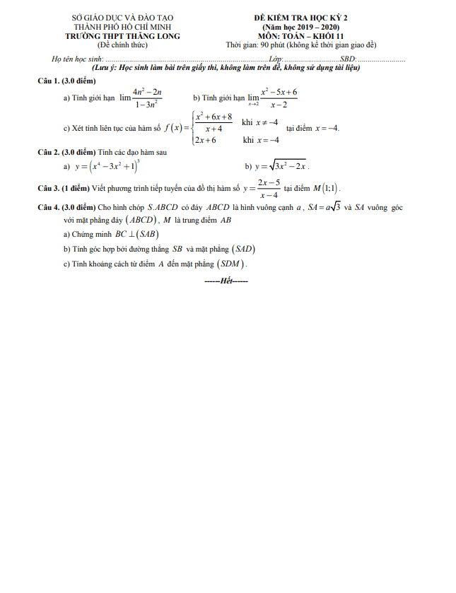
Ngày … tháng 06 năm 2020, trường THPT chuyên Hạ Long, tỉnh Quảng Ninh tổ chức kỳ thi kiểm tra học kỳ 2 môn Toán lớp 11 năm học 2019 - 2020. Đề thi bao gồm 45 câu trắc nghiệm chung và 5 câu trắc nghiệm riêng cho mỗi lớp: chuyên Toán và không chuyên Toán, thời gian làm bài 90 phút.

Trong đề thi, có các câu hỏi như:

  • Khẳng định nào sau đây sai?
    • A. Phương trình x^4 + mx^2 - 2mx - 2 = 0 luôn có nghiệm với mọi giá trị của tham số m.
    • B. Phương trình 3x^6 - 3x^3 + 5x - 2 = 0 không có nghiệm thuộc (-2;2).
    • C. Phương trình x^3 - 3x + 1 = 0 có 3 nghiệm phân biệt.
    • D. Phương trình m(x - 1)^2.(x - 2) + 2x - 3 = 0 luôn có nghiệm với mọi giá trị của tham số m.
  • Cho hình chóp S.ABC có đáy ABC là tam giác vuông tại B, SA vuông góc với (ABC). Gọi (P) là mặt phẳng trung trực của AB. Thiết diện của hình chóp S.ABC cắt bởi (P) là:
    • A. Hình chữ nhật.
    • B. Tam giác vuông.
    • C. Hình thoi.
    • D. Hình thang vuông.
  • Cho hình chóp tứ giác S.ABCD có đáy là hình vuông cạnh a và tam giác SAB đều nằm trong mặt phẳng vuông góc với mặt phẳng đáy. Gọi H là trung điểm của AB. Gọi x là góc giữa SC và HD. Tính cos x.

Đề thi học kỳ 2 Toán lớp 11 năm 2019 - 2020 trường THPT chuyên Hạ Long Quảng Ninh đánh giá kiến thức và kỹ năng của học sinh trên nhiều phương diện, từ kiến thức căn bản đến khả năng vận dụng và suy luận logic.

Bình luận (5)

Bình 11a12 Bùi Trọng

Em hạnh phúc khi có thể truy cập và tham khảo đề thi học kì 2 môn Toán năm 2019-2020 của trường THPT chuyên Hạ Long. Cảm ơn những người đã công bố tài liệu này!

Trả lời.

Lê Hương Ly

Tôi rất biết ơn vì đã có cơ hội tải về đề thi học kì 2 môn Toán năm 2019-2020 của trường THPT chuyên Hạ Long. Tài liệu này sẽ giúp tôi rèn luyện kỹ năng và kiến thức trong môn Toán.

Trả lời.

Trần Trang

Em cảm động trước lòng tốt của người đã chia sẻ file pdf đề thi học kì 2 môn Toán lớp 11. Đây là nguồn tài liệu quý giá giúp em ôn tập hiệu quả.

Trả lời.

Shion Kenjuu

Tôi mãn nhãn với chất lượng và đầy đủ thông tin trong đề thi học kì 2 môn Toán năm 2019-2020 của trường THPT chuyên Hạ Long. Cảm ơn admin đã upload tài liệu này.

Trả lời.

levi thế quân

Em cảm thấy phấn khích khi biết có file pdf đề thi học kì 2 môn Toán lớp 11 của trường THPT chuyên Hạ Long. Cảm ơn những người đã chia sẻ tài liệu này!

Trả lời.
Nhấn vào đây để đánh giá
Thông tin người gửi
0.91012 sec| 2484.086 kb