Đề thi học kì 2 (HK2) lớp 6 môn Toán năm 2017 2018 phòng GD và ĐT Thanh Oai Hà Nội

Đề thi học kì 2 (HK2) lớp 6 môn Toán năm 2017 2018 phòng GD và ĐT Thanh Oai Hà Nội
Mời thí sinh CLICK vào liên kết hoặc ảnh bên dưới Mở ứng dụng Shopee để tiếp tục làm bài thi
https://s.shopee.vn/AKN2JyAJAw
sytu.net và đội ngũ nhân viên xin chân thành cảm ơn!

Nội dung Đề thi học kì 2 (HK2) lớp 6 môn Toán năm 2017 2018 phòng GD và ĐT Thanh Oai Hà Nội Bản PDF

Đề thi học kỳ 2 Toán lớp 6 năm 2017 - 2018 phòng GD và ĐT Thanh Oai - Hà Nội

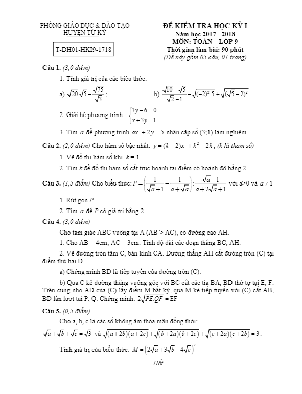
Đề thi học kỳ 2 môn Toán lớp 6 năm 2017 - 2018 tại phòng GD và ĐT Thanh Oai - Hà Nội đã được biên soạn theo hình thức tự luận. Đề bao gồm 1 trang với 5 bài toán đa dạng, thử thách khả năng giải quyết vấn đề của học sinh. Thời gian làm bài dành cho các em học sinh là 90 phút, đủ để họ có thời gian suy nghĩ và trả lời các câu hỏi.

Để giúp học sinh làm bài hiệu quả, đề thi cung cấp lời giải chi tiết và thang điểm đánh giá. Các dạng toán trong đề bao gồm:

  • Thực hiện phép tính phân số, một kiến thức quan trọng về tính toán đối với học sinh ở độ tuổi này.
  • Tìm x, một bài toán yêu cầu khả năng giải bài toán và tìm ra giá trị chính xác của biến số.
  • Bài toán về tính chi vi và diện tích hình chữ nhật, giúp học sinh rèn luyện kỹ năng tính toán và logic.
  • Bài toán về góc, khám phá và áp dụng kiến thức về góc trong lớp học Toán.
  • Bất đẳng thức, là một phần kiến thức khái niệm cần hiểu và áp dụng trong giải bài toán.

Đề thi được thiết kế không chỉ để đánh giá kiến thức mà còn để khuyến khích học sinh tư duy logic, sáng tạo trong việc giải quyết vấn đề toán học. Qua đó, giúp học sinh phát triển năng lực toán học và tự tin hơn khi đối diện với các bài toán khó khăn trong tương lai.

Bình luận (5)

Nguyễn Khánh Linh

Em rất hứng thú với việc làm quen với đề thi học kì 2 môn Toán của lớp 6. Tài liệu này sẽ giúp em xác định được khuyết điểm của mình để cải thiện và phát triển trong học tập.

Trả lời.

Hà Huy Hùng

Tôi thực sự ấn tượng với sự chuẩn bị kỹ lưỡng và tỉ mỉ trong việc soạn thảo bộ đề thi này. Đây là công việc đáng quý và đáng tôn trọng đối với học sinh.

Trả lời.

Khánh Ly Lê

Em thấy rất vui khi có cơ hội làm quen với các dạng bài tập mới trong đề thi này. Việc ôn tập với tài liệu chất lượng như vậy sẽ giúp em nâng cao hiệu suất học tập của mình.

Trả lời.

huynhvantien

Tôi thực sự rất ấn tượng với nội dung của đề thi này. Cách bố cục câu hỏi và mức độ khó tăng dần sẽ giúp học sinh vận dụng kiến thức một cách linh hoạt và hiệu quả.

Trả lời.

Ngọc Oanh Nguyễn Thị

Em rất hạnh phúc khi được tiếp cận với các đề thi chất lượng như thế này. Cảm ơn người đã tổ chức và tổ chức tài liệu này để giúp em tự tin hơn trong kỳ thi sắp tới.

Trả lời.
Nhấn vào đây để đánh giá
Thông tin người gửi
1.33187 sec| 2478.664 kb