Đề thi học kì 2 (HK2) lớp 6 môn Toán năm 2019 2020 trường THCS Hai Bà Trưng TP HCM

Đề thi học kì 2 (HK2) lớp 6 môn Toán năm 2019 2020 trường THCS Hai Bà Trưng TP HCM
Mời thí sinh CLICK vào liên kết hoặc ảnh bên dưới Mở ứng dụng Shopee để tiếp tục làm bài thi
https://s.shopee.vn/AKN2JyAJAw
sytu.net và đội ngũ nhân viên xin chân thành cảm ơn!

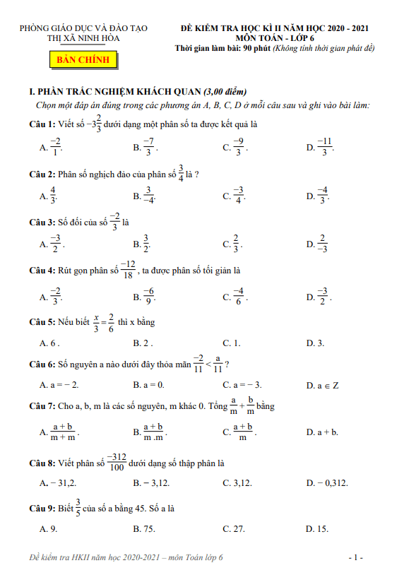
Nội dung Đề thi học kì 2 (HK2) lớp 6 môn Toán năm 2019 2020 trường THCS Hai Bà Trưng TP HCM Bản PDF

Đề thi học kì 2 (HK2) lớp 6 môn Toán năm 2019-2020 trường THCS Hai Bà Trưng TP HCM

Để hỗ trợ quý thầy cô giáo và các em học sinh, chúng tôi đã sưu tầm và chia sẻ file PDF đề thi HK2 Toán lớp 6 năm học 2019-2020 của trường THCS Hai Bà Trưng, quận 3, thành phố Hồ Chí Minh. Đề thi bao gồm đáp án, lời giải chi tiết và hướng dẫn chấm điểm.

Trích đề thi HK2 Toán lớp 6 năm 2019-2020 trường THCS Hai Bà Trưng - TP HCM:

  • Bác Thu bán 70kg khoai mì. Buổi sáng bác bán được 3/5 số khoai với giá 15000 đồng/kg. Buổi chiều bác bán hết số khoai mì còn lại với giá 10000đ/kg. Hỏi buổi sáng bác Thu bán được bao nhiêu kg khoai mì và số tiền bán khoai mì cả ngày là bao nhiêu?
  • Khối 6 của một trường có tổng cộng 400 học sinh. Trong dịp tổng kết cuối năm thống kê được số học sinh khá bằng 2/5 số học sinh cả khối. Số học sinh giỏi bằng 70% số học sinh khá. Số học sinh trung bình bằng 1/4 số học sinh cả khối, còn lại là học sinh yếu. Tính số học sinh mỗi loại?
  • Trên cùng nửa mặt phẳng có bờ chứa tia Ox. Vẽ hai tia Oy, Oz sao cho góc xOy bằng 40°, góc xOz bằng 110°. a) Hỏi trong ba tia Ox, Oy, Oz tia nào nằm giữa hai tia còn lại? Vì sao? Tính số đo góc yOz? b) Vẽ tia Om là tia đối của tia Ox và vẽ tia On là phân giác của góc mOz. Tính số đo góc nOx?

Hy vọng rằng đề thi này sẽ giúp các em học sinh ôn tập hiệu quả và chuẩn bị tốt cho kỳ thi học kỳ 2. Chúc quý thầy cô giáo và các em đạt kết quả cao trong kỳ thi sắp tới.

Bình luận (5)

Thành Nhân

Em rất hạnh phúc khi có cơ hội tải về đề thi học kì 2 môn Toán năm 2019 2020 của trường THCS Hai Bà Trưng TP HCM. Em sẽ dành thời gian ôn tập để đạt kết quả tốt nhất.

Trả lời.

02. Võ Tuấn Anh

Tôi tin rằng việc tham khảo đề thi học kì 2 môn Toán của trường THCS Hai Bà Trưng TP HCM sẽ giúp học sinh hiểu rõ hơn về cấu trúc đề thi và chuẩn bị tốt cho kỳ thi sắp tới.

Trả lời.

bảo

Em rất cảm động khi thấy đề thi học kì 2 môn Toán của trường THCS Hai Bà Trưng TP HCM. Đề thi này sẽ giúp em nâng cao kiến thức và chuẩn bị tốt trước bài kiểm tra.

Trả lời.

Nguyễn Diên Đăng Khoa

Tôi rất biết ơn vì đã có người đăng tải file pdf của đề thi học kì 2 môn Toán trường THCS Hai Bà Trưng TP HCM. Điều này giúp tôi tiết kiệm thời gian tìm kiếm tài liệu ôn tập.

Trả lời.

Thuha Dinh

Em cảm thấy phấn khích vì đã tìm thấy đề thi học kì 2 môn Toán năm 2019 2020 của trường THCS Hai Bà Trưng TP HCM. Đây sẽ là tài liệu hữu ích cho em trong quá trình ôn tập.

Trả lời.
Nhấn vào đây để đánh giá
Thông tin người gửi
1.07661 sec| 2479.852 kb