Đề thi học sinh giỏi lớp 10 môn Toán năm 2018 2019 trường Đan Phượng Hà Nội

Đề thi học sinh giỏi lớp 10 môn Toán năm 2018 2019 trường Đan Phượng Hà Nội
Mời thí sinh CLICK vào liên kết hoặc ảnh bên dưới Mở ứng dụng Shopee để tiếp tục làm bài thi
https://s.shopee.vn/AKN2JyAJAw
sytu.net và đội ngũ nhân viên xin chân thành cảm ơn!

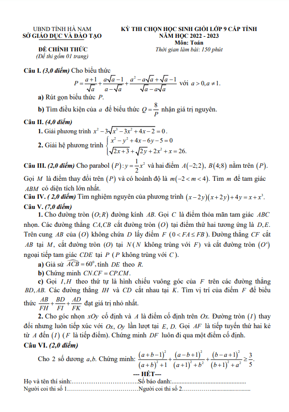
Nội dung Đề thi học sinh giỏi lớp 10 môn Toán năm 2018 2019 trường Đan Phượng Hà Nội Bản PDF

Đề thi học sinh giỏi Toán lớp 10 năm 2018 - 2019 trường Đan Phượng Hà Nội

Sytu xin giới thiệu đến các bạn nội dung đề thi học sinh giỏi môn Toán lớp 10 năm 2018 - 2019 của trường Đan Phượng - Hà Nội. Đề thi được tổ chức nhằm tuyển chọn những học sinh xuất sắc khối lớp 10 với kiến thức Toán để bổ sung vào đội tuyển học sinh giỏi Toán của trường.

Đề thi Toán lớp 10 năm 2018 - 2019 tại trường Đan Phượng - Hà Nội có cấu trúc bao gồm 5 bài toán được biên soạn theo hình thức tự luận, nhằm đánh giá khả năng tư duy logic và giải quyết vấn đề của học sinh. Thang điểm của đề thi là 20 và thời gian làm bài là 120 phút. Các em sẽ được tuyên dương, khen thưởng trước toàn trường nếu đạt kết quả cao.

Trích dẫn một số câu hỏi trong đề thi:

1. Trong mặt phẳng tọa độ Oxy, cho hình thang ABCD với diện tích bằng 14 đơn vị diện tích và các điểm đặc biệt A(1;1), H(-1/2;0). Viết phương trình tổng quát của đường thẳng AB biết điểm D có hoành độ dương và nằm trên đường thẳng d: 5x – y + 1 = 0.

2. Cho parabol (P): y = 2x^2 + 6x - 1. Tìm giá trị của k để đường thẳng Δ: y = (k + 6)x + 1 cắt parabol (P) tại hai điểm phân biệt M, N sao cho trung điểm của MN nằm trên đường thẳng d: y = -2x + 3/2.

3. Tam giác ABC là tam giác đều có cạnh bằng a. Lấy các điểm N, M, P trên các cạnh sao cho BN = a/3, CM = 2a/3, AP = x (0 < x < a). Tìm giá trị của x để đường thẳng AN vuông góc với đường thẳng PM.

Đề thi còn nhiều câu hỏi khác thú vị và thách thức đòi hỏi các em phải áp dụng kiến thức, kỹ năng Toán một cách linh hoạt và sáng tạo.

Bình luận (5)

Nguyen Ngoc

Em xin chân thành cảm ơn nhà trường Đan Phượng Hà Nội đã đầu tư công sức để soạn thảo ra đề thi học sinh giỏi chất lượng như vậy. Đây là động lực lớn để em cố gắng học tập hơn.

Trả lời.

Lê Trần Dung

Tôi hi vọng rằng các em học sinh sẽ tận dụng cơ hội để ôn luyện và chuẩn bị tốt cho kì thi sắp tới. Đề thi này sẽ là một công cụ hữu ích để giúp các em đạt kết quả cao.

Trả lời.

User Google

Em cảm thấy háo hức khi có thể tham gia vào việc giải đề thi học sinh giỏi môn Toán. Điều này giúp em thách thức bản thân và học hỏi từ những câu hỏi mới.

Trả lời.

Cao Thị Tuyết Nhung

Tôi rất thích cách trình bày và nội dung của đề thi môn Toán này. Đây là một tài liệu quý báu mà bất kỳ học sinh học Toán nào cũng nên tham khảo.

Trả lời.

Hồng lợi Trần Nguyễn

Em thấy hạnh phúc và cảm động khi có cơ hội tự kiểm tra kiến thức của mình thông qua đề thi học sinh giỏi này. Đây là kỷ niệm đáng nhớ trong quá trình học tập.

Trả lời.
Nhấn vào đây để đánh giá
Thông tin người gửi
1.38537 sec| 2476.773 kb