Đề thi học sinh giỏi lớp 12 môn Toán năm 2020 2021 sở GD ĐT Nam Định

Đề thi học sinh giỏi lớp 12 môn Toán năm 2020 2021 sở GD ĐT Nam Định
Mời thí sinh CLICK vào liên kết hoặc ảnh bên dưới Mở ứng dụng Shopee để tiếp tục làm bài thi
https://s.shopee.vn/AKN2JyAJAw
sytu.net và đội ngũ nhân viên xin chân thành cảm ơn!

Nội dung Đề thi học sinh giỏi lớp 12 môn Toán năm 2020 2021 sở GD ĐT Nam Định Bản PDF

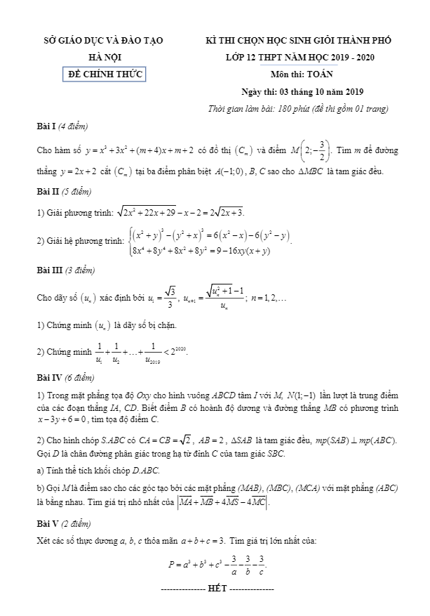
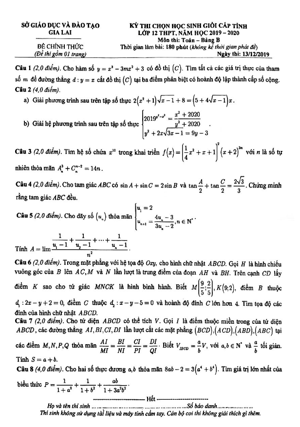
Đề thi học sinh giỏi lớp 12 môn Toán năm 2020-2021 do Sở Giáo dục và Đào tạo tỉnh Nam Định tổ chức là cơ hội để các học sinh thử sức và thể hiện khả năng của mình trong môn học quan trọng này. Đề thi gồm hai phần, trong đó phần trắc nghiệm một lựa chọn và phần thứ hai là viết câu trả lời, đề thi có thời gian làm bài trong vòng 60 phút.

Trong đề thi, có những câu hỏi khá thú vị và đòi hỏi sự tư duy logic và khả năng giải quyết vấn đề của thí sinh. Ví dụ như câu hỏi về việc tìm số phần tử của tập hợp S gồm các số tự nhiên có 19 chữ số từ tập X 6 và 8 sao cho mỗi số chứa ít nhất một chữ số 8 và không có hai chữ số 8 nào đứng cạnh nhau. Câu hỏi khác đề cập đến việc tính thể tích của một khối nón tạo bởi hình chóp và hình tròn nội tiếp hình thoi.

Đề thi cũng đòi hỏi sự chú ý và tính toán chính xác của thí sinh, với câu hỏi về tính thể tích của khối chóp có đáy là hình vuông và các chi tiết về khoảng cách và hình chiếu vuông góc. Thí sinh cần phải hiểu rõ vấn đề và áp dụng kiến thức Toán học để giải quyết các bài toán phức tạp này.

Đề thi HSG Toán lớp 12 năm 2020-2021 là một thách thức đối với các học sinh, nhưng cũng là cơ hội để họ thể hiện kiến thức và kỹ năng của mình. Hy vọng rằng các thí sinh sẽ có kết quả tốt trong kỳ thi này và tiếp tục phát triển trong học tập và sự nghiệp sau này.
Bình luận (0)
Nhấn vào đây để đánh giá
Thông tin người gửi
1.55865 sec| 2403.742 kb