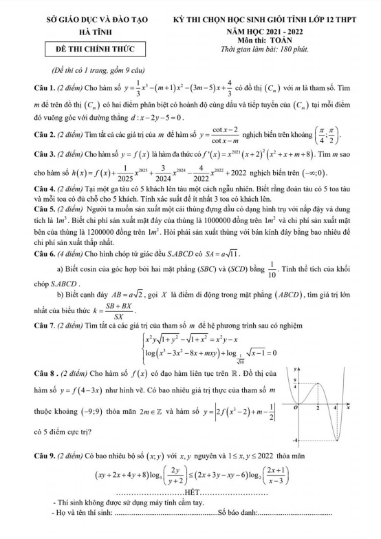
Đề thi học sinh giỏi Toán THPT cấp tỉnh năm 2018 2019 sở GD ĐT Hậu Giang

Đề thi học sinh giỏi Toán THPT cấp tỉnh năm 2018 2019 sở GD ĐT Hậu Giang
Mời thí sinh CLICK vào liên kết hoặc ảnh bên dưới Mở ứng dụng Shopee để tiếp tục làm bài thi
https://s.shopee.vn/AKN2JyAJAw
sytu.net và đội ngũ nhân viên xin chân thành cảm ơn!

Nội dung Đề thi học sinh giỏi Toán THPT cấp tỉnh năm 2018 2019 sở GD ĐT Hậu Giang Bản PDF

Đề thi học sinh giỏi Toán THPT cấp tỉnh năm 2018 - 2019 sở GD&ĐT Hậu Giang

Sytu xin gửi đến quý thầy, cô giáo và các em học sinh đề thi học sinh giỏi Toán THPT cấp tỉnh năm 2018 - 2019 sở GD&ĐT Hậu Giang. Kỳ thi đã diễn ra vào ngày 19 tháng 04 năm 2019. Đề thi bao gồm đáp án, lời giải chi tiết và hướng dẫn chấm điểm.

Trích dẫn đề thi học sinh giỏi Toán THPT cấp tỉnh năm 2018 - 2019 sở GD&ĐT Hậu Giang:

  • Gọi S là tập hợp tất cả các số nguyên dương n thỏa mãn 2 tính chất sau: Các chữ số của n là khác nhau. Các chữ số của n thuộc tập hợp {0; 1; 3; 5; 7}. a) Tính số phần tử của S. b) Chọn ngẫu nhiên một số m thuộc S. Tính xác suất để m có 4 chữ số và m chia hết cho 6.
  • Cho tứ giác lồi ABCD nội tiếp trong đường tròn O. Gọi I là điểm trên cạnh BD sao cho DAI BAC. a) Chứng minh rằng ADI ACB và ABI ACD. b) Chứng minh rằng ABCD AD BC AC BD.
  • Cho hình chóp S ABCD có đáy ABCD là hình vuông cạnh a SA vuông góc với mặt phẳng đáy và SC a 3. Gọi là mặt phẳng đi qua A và vuông góc với SC. Tính theo a diện tích thiết diện của hình chóp S ABCD cắt bởi mặt phẳng.
Bình luận (0)
Nhấn vào đây để đánh giá
Thông tin người gửi
1.57791 sec| 2403.117 kb