Đề thi HSG lớp 10 môn Toán năm 2022 2023 trường THPT Thuận Thành 1 Bắc Ninh

Đề thi HSG lớp 10 môn Toán năm 2022 2023 trường THPT Thuận Thành 1 Bắc Ninh
Mời thí sinh CLICK vào liên kết hoặc ảnh bên dưới Mở ứng dụng Shopee để tiếp tục làm bài thi
https://s.shopee.vn/AKN2JyAJAw
sytu.net và đội ngũ nhân viên xin chân thành cảm ơn!

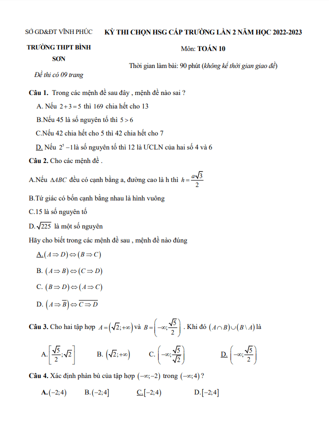
Nội dung Đề thi HSG lớp 10 môn Toán năm 2022 2023 trường THPT Thuận Thành 1 Bắc Ninh Bản PDF

Đề thi HSG lớp 10 môn Toán năm 2022 - 2023 trường THPT Thuận Thành 1 Bắc Ninh

Chào quý thầy cô và các em học sinh lớp 10! Sytu hân hạnh giới thiệu đến mọi người đề thi chọn học sinh giỏi cấp trường môn Toán lớp 10 năm học 2022 - 2023 trường THPT Thuận Thành 1, tỉnh Bắc Ninh. Đề thi sẽ bao gồm 8 bài toán tự luận, thời gian làm bài là 120 phút (không tính thời gian giao đề). Dưới đây là một số ví dụ về nội dung trong đề thi:

Bài 1: Trong lớp 10A của trường THPT Thuận Thành 1 có 30 học sinh. Số học sinh thích đá cầu, bóng chuyền và bóng đá lần lượt là 13, 14 và 15. Nếu 9 bạn thích cả bóng đá và đá cầu, 8 bạn thích cả đá cầu và bóng chuyền, và 5 bạn chỉ thích bóng đá mà không thích bóng chuyền, hỏi lớp 10A có bao nhiêu bạn không thích cả ba môn thể thao nêu trên biết rằng có 6 bạn thích cả ba môn thể thao đó?

Bài 2: Gia đình nhà ông bà Thêu Lựu sản xuất đậu phụ tại quê Trà Lâm - Trí Quả. Gia đình ông bà làm hai loại đậu phụ: loại to (loại 1) và loại nhỏ (loại 2). Biết rằng thời gian sản xuất một cái đậu loại 1 gấp rưỡi thời gian làm ra một cái đậu loại 2. Nếu làm toàn bộ loại 2, gia đình làm được 30 cái trong 1 giờ. Hỏi cần sản xuất bao nhiêu cái đậu loại 1 và loại 2 trong một ngày để thu được lãi cao nhất?

Bài 3: Cho hai tia Ax và By với độ dài AB là 100 cm. Chất điểm X và Y bắt đầu di chuyển trên tia Ax và tia By với vận tốc lần lượt là 3 cm/s và 4 cm/s. Tính giá trị nhỏ nhất của đoạn đường MN khi chất điểm X di chuyển được đoạn đường AM và chất điểm Y di chuyển được đoạn đường BN sau thời gian t.

Chúc quý thầy cô và các em học sinh có kì thi thành công và đạt kết quả tốt trong đề thi này!

Bình luận (4)

Nguyễn Duy Anh

Tôi muốn gửi lời cảm ơn chân thành đến ban tổ chức và thầy cô giáo đã chuẩn bị đề thi HSG môn Toán lớp 10 năm 2022-2023. Điều này giúp chúng em có cơ hội rèn luyện kiến thức và kỹ năng thi cử. Cảm ơn rất nhiều!

Trả lời.

Cuc Tranthikim

Em thấy vui mừng và háo hức khi được tham gia vào cuộc thi HSG với đề thi năm nay. Cảm ơn nhà trường đã tạo điều kiện tốt cho em và bạn bè ôn tập và thi đấu.

Trả lời.

Trần Thị Thùy Dương

Tôi thực sự rất biết ơn thầy cô trường THPT Thuận Thành 1 Bắc Ninh đã tổ chức và cung cấp cho chúng ta đề thi HSG chất lượng như vậy. Điều này giúp chúng ta phát triển thêm trong học tập.

Trả lời.

Minh hiệp

Em rất phấn khích khi biết được đã có đề thi HSG lớp 10 môn Toán năm 2022-2023 được công bố. Cơ hội để tự kiểm tra kiến thức và rèn luyện kỹ năng đề thi sắp tới.

Trả lời.
Nhấn vào đây để đánh giá
Thông tin người gửi
2.13764 sec| 2476.281 kb