Đề thi HSG lớp 8 môn Toán năm 2016 2017 phòng GD ĐT Phù Ninh Phú Thọ

Đề thi HSG lớp 8 môn Toán năm 2016 2017 phòng GD ĐT Phù Ninh Phú Thọ
Mời thí sinh CLICK vào liên kết hoặc ảnh bên dưới Mở ứng dụng Shopee để tiếp tục làm bài thi
https://s.shopee.vn/AKN2JyAJAw
sytu.net và đội ngũ nhân viên xin chân thành cảm ơn!

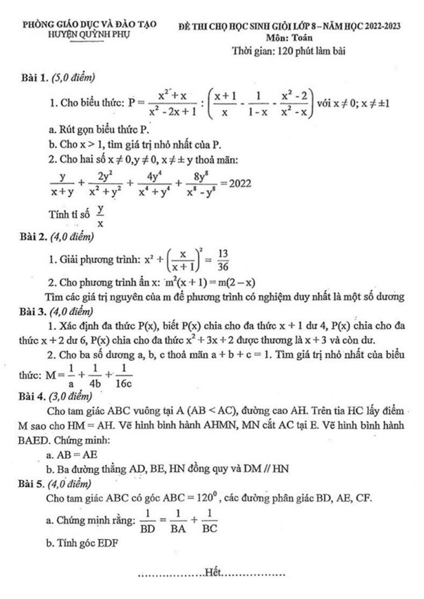
Nội dung Đề thi HSG lớp 8 môn Toán năm 2016 2017 phòng GD ĐT Phù Ninh Phú Thọ Bản PDF

Đề thi HSG lớp 8 môn Toán năm 2016-2017 Phòng GD&ĐT Phù Ninh Phú Thọ

Xin gửi đến quý thầy cô và các em học sinh lớp 8 đề thi HSG Toán lớp 8 năm 2016-2017 của Phòng GD&ĐT Phù Ninh - Phú Thọ. Đề thi bao gồm đáp án, lời giải chi tiết và hướng dẫn chấm điểm để giúp các em ôn tập hiệu quả.

Trích dẫn một số câu hỏi từ đề thi:

  1. Trong hình vuông ABCD, M là một điểm nằm giữa B và C. Kẻ AN vuông góc với AM, AP vuông góc với MN (N và P thuộc đường thẳng CD). Hãy chứng minh tam giác AMN vuông cân và AN2 = NC.NP.
  2. Tính tỉ số chu vi tam giác CMP và chu vi hình vuông ABCD.
  3. Chứng minh rằng tổng 1/AM2 + 1/AQ2 không đổi khi điểm M thay đổi trên cạnh BC.
  4. Tính chu vi P và P’ của hai tam giác đồng dạng biết tỉ số các cạnh bé nhất bằng 2/5, và P’ – P = 18 cm.
  5. Cho tam giác ABC có độ dài ba cạnh: AB = 20 cm, AC = 34 cm, BC = 42 cm. Hỏi diện tích của tam giác đó là bao nhiêu?

Hy vọng đề thi sẽ giúp các em ôn tập hiệu quả và đạt kết quả tốt trong kỳ thi sắp tới. Chúc các em thành công!

Bình luận (5)

Phương Thanh Nguyễn

Tôi chắc chắn sẽ gặt hái được nhiều kiến thức và kỹ năng quan trọng từ việc làm các bài tập trong đề thi này. Cảm ơn người đã chia sẻ tài liệu này vô cùng!

Trả lời.

23_Nguyễn Kim Ngân

Em thấy hứng thú học Toán hơn khi được tiếp cận với đề thi HSG lớp 8 năm 2016 2017 phòng GD ĐT Phù Ninh Phú Thọ, mọi khái niệm trở nên sinh động và thú vị hơn.

Trả lời.

Thảo Nguyễn

Tôi sẽ dành thời gian ôn tập và giải các câu hỏi trong đề thi này, để chuẩn bị tốt nhất cho kì thi sắp tới.

Trả lời.

Hoàng Nhật

Em không thể tin được là mình có thể tìm thấy đề thi HSG lớp 8 môn Toán năm 2016 2017 phòng GD ĐT Phù Ninh Phú Thọ một cách dễ dàng như vậy, thật sự là quá may mắn.

Trả lời.

Duy Nhật

Tôi cảm thấy vui vì đã tìm thấy tài liệu này, nó chứa đựng nhiều kiến thức quý báu mà tôi cần để đạt kết quả cao trong môn Toán.

Trả lời.
Nhấn vào đây để đánh giá
Thông tin người gửi
1.49549 sec| 2474.664 kb