Đề thi HSG Toán THCS năm 2023 2024 trường TH THCS Tây Tiến Sơn La

Đề thi HSG Toán THCS năm 2023 2024 trường TH THCS Tây Tiến Sơn La
Mời thí sinh CLICK vào liên kết hoặc ảnh bên dưới Mở ứng dụng Shopee để tiếp tục làm bài thi
https://s.shopee.vn/AKN2JyAJAw
sytu.net và đội ngũ nhân viên xin chân thành cảm ơn!

Nội dung Đề thi HSG Toán THCS năm 2023 2024 trường TH THCS Tây Tiến Sơn La Bản PDF

Đề thi HSG Toán THCS năm 2023 – 2024 trường TH&THCS Tây Tiến Sơn La

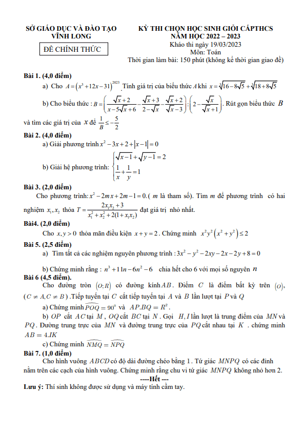
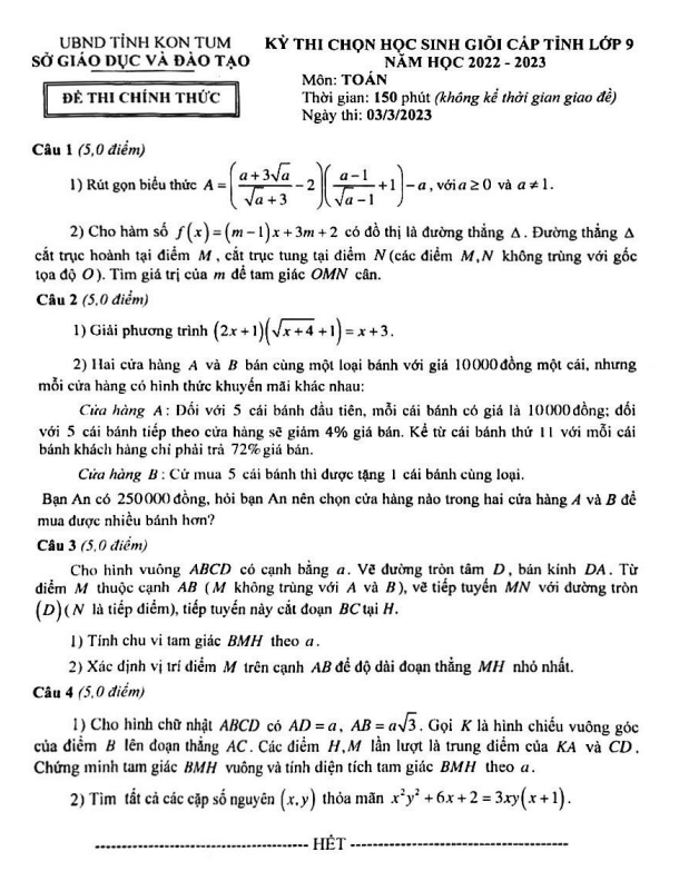
Sytu hân hạnh giới thiệu đến quý thầy cô và các em học sinh lớp 9 đề thi chọn học sinh giỏi môn Toán cấp THCS năm học 2023 – 2024 trường TH&THCS Tây Tiến, huyện Mộc Châu, tỉnh Sơn La. Đề thi bao gồm đáp án và biểu điểm.

Trích dẫn Đề thi HSG Toán THCS năm 2023 – 2024 trường TH&THCS Tây Tiến – Sơn La:

+ Cho AB là đường kính của đường tròn (O; R). C là một điểm thay đổi trên đường tròn (C khác A và B), kẻ CH vuông góc với AB tại H. Gọi I là trung điểm của AC, OI cắt tiếp tuyến tại A của đường tròn (O; R) tại M.
a) Chứng minh rằng 4 điểm C, H, O, I cùng thuộc một đường tròn.
b) Chứng minh MC là tiếp tuyến của (O; R).
c) Xác định vị trí của C để chu vi tam giác ACB đạt giá trị lớn nhất. Tìm giá trị lớn nhất đó theo R.

+ Cho hàm số y = mx – 2m -1 (m > 0)
a) Chứng minh rằng đồ thị hàm số luôn đi qua một điểm cố định.
b) Gọi A, B lần lượt là giao điểm của đồ thị hàm số với các trục Ox, Oy. Xác định m để diện tích tam giác AOB bằng 4 (đơn vị diện tích).

+ Cho x, y, z > 0 thỏa mãn x + y + z = 2. Tìm giá trị nhỏ nhất của biểu thức P = 2xyz/(x+y)(y+z)(z+x).

Bình luận (5)

Black Gloom The

Em thực sự rất cảm động khi có dịp tham gia vào kỳ thi này. Đề thi HSG Toán thật sự là cơ hội tuyệt vời để học sinh thể hiện khả năng và đam mê toán học của mình.

Trả lời.

Dương Ngọc Ánh

Tôi cảm thấy rất háo hức khi biết được về kỳ thi HSG Toán năm 2023 2024 của trường THCS Tây Tiến. Đây chắc chắn là cơ hội tốt để thử thách bản thân và học hỏi từ các đồng đội.

Trả lời.

Minh Chau Tạ

Em không thể không thốt lên 'Wow!' khi thấy đề thi này. Tôi chắc chắn sẽ dành nhiều thời gian để ôn tập và giải các bài toán trong đề.

Trả lời.

Ngânn Hồ

Tôi rất vui khi tìm thấy file pdf download của đề thi HSG Toán THCS năm 2023 2024. Đây chắc chắn sẽ là nguồn tài liệu quý giá để hỗ trợ việc học tập của học sinh.

Trả lời.

Lê Ngọc Bảo Hân

Em hạnh phúc vì có cơ hội tham gia thi cùng các bạn và giải quyet các bài toán thú vị trong đề thi HSG Toán của trường Tây Tiến. Cảm giác thật tuyệt vời!

Trả lời.
Nhấn vào đây để đánh giá
Thông tin người gửi
1.62433 sec| 2473.656 kb