Đề thi lớp 10 môn Toán lần 1 năm 2019 2020 trường THPT Thạch Thành 1 Thanh Hóa

Đề thi lớp 10 môn Toán lần 1 năm 2019 2020 trường THPT Thạch Thành 1 Thanh Hóa
Mời thí sinh CLICK vào liên kết hoặc ảnh bên dưới Mở ứng dụng Shopee để tiếp tục làm bài thi
https://s.shopee.vn/AKN2JyAJAw
sytu.net và đội ngũ nhân viên xin chân thành cảm ơn!

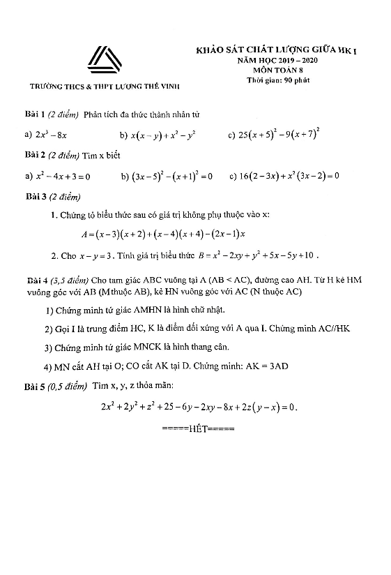
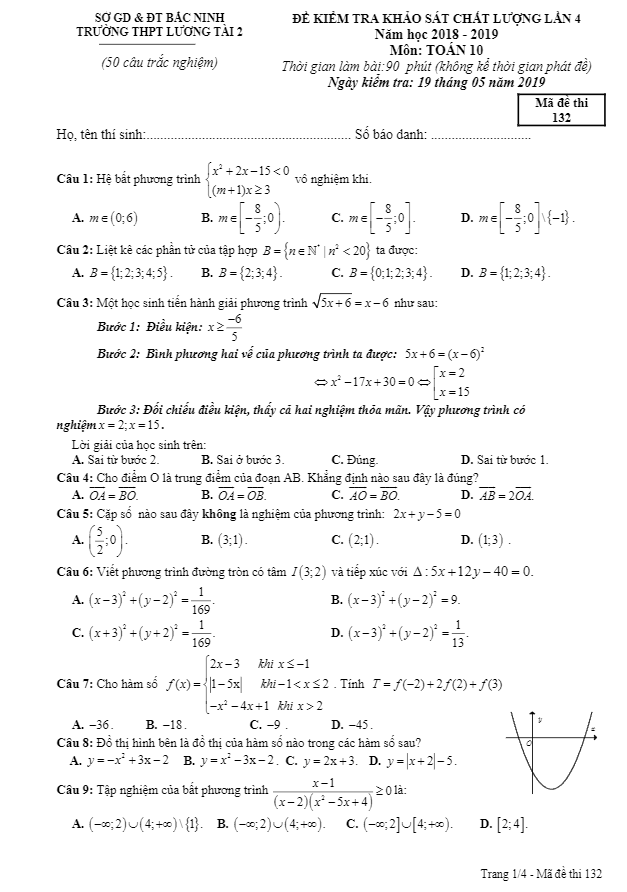
Nội dung Đề thi lớp 10 môn Toán lần 1 năm 2019 2020 trường THPT Thạch Thành 1 Thanh Hóa Bản PDF

Đề thi lớp 10 môn Toán lần 1 năm 2019 2020 trường THPT Thạch Thành 1 Thanh Hóa

Sytu xin gửi đến quý thầy cô và các bạn học sinh đề thi Toán lớp 10 lần 1 năm học 2019 - 2020 của trường THPT Thạch Thành 1, Thanh Hóa. Đề thi này được tổ chức để kiểm tra và đánh giá kết quả học tập môn Toán của học sinh lớp 10.

Dưới đây là một số câu hỏi trong đề thi:

1. Cho hình bình hành ABCD có tâm O, N là trung điểm của cạnh AB, G là trọng tâm tam giác ABC.

2. Tìm điểm M thỏa mãn MA + MB + MC = 4MD.

3. Phân tích vectơ GA theo hai vectơ BD và NC.

4. Biết tam giác ABC là tam giác cân, AB = a và góc ABC = 120 độ. Tính độ dài của vectơ BA + BC theo a.

Trong mặt phẳng tọa độ Oxy, cho v = 2i + 3j và điểm A(3;-5).

1. Tìm tọa độ của vectơ v.

2. Tìm tọa độ điểm B sao cho AB = v.

3. Tìm tọa độ điểm M thuộc trục hoành sao cho ba điểm A, B, M thẳng hàng.

Lập mệnh đề phủ định của mệnh đề sau và xét tính đúng sai của nó: Mọi hình vuông đều là hình thoi.

Đề thi chi tiết được lưu trữ trong file Word. Các bạn có thể tải về và tham khảo để ôn tập cho kỳ thi sắp tới.

Bình luận (5)

Nguyễn Thị Hương Giang

Tôi hy vọng tài liệu này sẽ giúp học sinh vượt qua thử thách trong kỳ thi và đạt được điểm số cao.

Trả lời.

Nguyễn Anh Hào

Em cảm động với sự chuẩn bị chu đáo và cụ thể trong tài liệu này, chắc chắn sẽ giúp em cải thiện kết quả học tập.

Trả lời.

Hạ Lan 7/3

Tôi đầy kỳ vọng vào việc học sinh sẽ tận dụng tài liệu này để chuẩn bị tốt cho kỳ thi sắp tới.

Trả lời.

Phương Uyên Đặng

Em rất phấn khích khi tìm thấy đề thi môn Toán lớp 10 này, giúp em nâng cao kiến thức và tự tin hơn trong kỳ thi sắp tới.

Trả lời.

hùng nguyễn music

Tôi thực sự biết ơn những người đã biên soạn tài liệu này, giúp học sinh có cơ hội rèn luyện kỹ năng.

Trả lời.
Nhấn vào đây để đánh giá
Thông tin người gửi
1.10129 sec| 2479.227 kb