Đề thi thử tuyển sinh vào năm 2017 môn Toán trường THCS An Đà Hải Phòng lần 1

Đề thi thử tuyển sinh vào năm 2017 môn Toán trường THCS An Đà Hải Phòng lần 1
Mời thí sinh CLICK vào liên kết hoặc ảnh bên dưới Mở ứng dụng Shopee để tiếp tục làm bài thi
https://s.shopee.vn/AKN2JyAJAw
sytu.net và đội ngũ nhân viên xin chân thành cảm ơn!

Nội dung Đề thi thử tuyển sinh vào năm 2017 môn Toán trường THCS An Đà Hải Phòng lần 1 Bản PDF

Đề thi thử tuyển sinh vào năm 2017 môn Toán trường THCS An Đà Hải Phòng lần 1

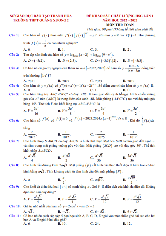
Đề thi thử tuyển sinh vào lớp 10 năm 2017 môn Toán trường THCS An Đà – Hải Phòng lần 1 bao gồm 5 câu hỏi tự luận. Dưới đây là một số bài toán đáng chú ý:

- Trong một bài toán, hội mĩ thuật Hải Phòng thiết kế một Pano quảng cáo dạng hình chữ nhật với chu vi là 68m và diện tích bằng 273m². Học sinh cần xác định liệu kích thước của tấm Pano quảng cáo đó có phù hợp với "Tỉ lệ vàng" hay không.

- Trong một bài toán khác, đề cho đường tròn (O; R) và dây BC cố định không đi qua tâm O. Học sinh cần chứng minh các đặc điểm của các tứ giác và tam giác liên quan trong trường hợp cụ thể này.

Đề thi này đòi hỏi học sinh phải áp dụng kiến thức toán học đã học để giải quyết các vấn đề phức tạp. Đồng thời, cũng đánh giá khả năng suy luận và logic của học sinh trong việc giải quyết vấn đề.

Bình luận (5)

Nguyễn Thị linh

Em thấy hào hứng và vui vẻ khi được làm đề thi thử này. Cảm ơn trường THCS An Đà đã tạo điều kiện cho em ôn tập!

Trả lời.

Ngọc Bảo

Tôi rất biết ơn vì đã có cơ hội thử sức với đề thi toán lần 1 từ trường THCS An Đà. Đây là cơ hội tuyệt vời!

Trả lời.

Van Anh

Đề thi thử này thực sự phấn khích và kích thích tinh thần học tập của em. Mong rằng sẽ đạt được điểm cao!

Trả lời.

Trần Gia Bảo`

Tài liệu này giúp em hiểu rõ hơn về định hướng của kỳ thi sắp tới. Cảm ơn các thầy,cô ở trường THCS An Đà!

Trả lời.

Đỗ Việt Bách

Em thấy rất vui khi có cơ hội thử sức với đề thi Toán lần 1 của trường THCS An Đà. Hy vọng sẽ có kết quả tốt!

Trả lời.
Nhấn vào đây để đánh giá
Thông tin người gửi
1.34259 sec| 2474.711 kb