Đề thi thử vào 10 môn Toán năm 2023 trường THCS Việt Ngọc Bắc Giang

Đề thi thử vào 10 môn Toán năm 2023 trường THCS Việt Ngọc Bắc Giang
Mời thí sinh CLICK vào liên kết hoặc ảnh bên dưới Mở ứng dụng Shopee để tiếp tục làm bài thi
https://s.shopee.vn/AKN2JyAJAw
sytu.net và đội ngũ nhân viên xin chân thành cảm ơn!

Nội dung Đề thi thử vào 10 môn Toán năm 2023 trường THCS Việt Ngọc Bắc Giang Bản PDF

Đề thi thử vào 10 môn Toán năm 2023 trường THCS Việt Ngọc Bắc Giang

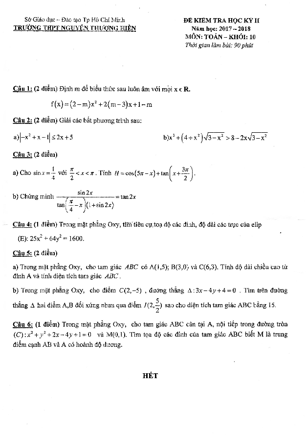
Sytu xin gửi đến các thầy cô giáo và các em học sinh lớp 9 đề thi thử tuyển sinh vào lớp 10 môn Toán năm học 2022 - 2023 trường THCS Việt Ngọc, huyện Tân Yên, tỉnh Bắc Giang. Kỳ thi sẽ diễn ra vào ngày 25 tháng 12 năm 2022.

Dưới đây là một số câu hỏi trong đề thi:

1. Năm học 2022-2023, hai lớp 9A và 9B của trường THCS A có tổng cộng 63 học sinh. Hỏi số học sinh của mỗi lớp khi biết rằng nếu chuyển 3 học sinh từ lớp 9A sang lớp 9B thì 4 lần số học sinh lớp 9A bằng 5 lần số học sinh lớp 9B.

2. Cho ∆ABC nhọn, nội tiếp (O), các đường cao AD và BE cắt nhau tại H (D thuộc BC, E thuộc AC), kẻ đường kính BOM. K là giao điểm của AC và MH. Hãy chứng minh: - Tứ giác HECD là tứ giác nội tiếp. - OK vuông góc AC. - ∆HBO cân khi góc AOK có số đo là 60 độ.

3. Cho phương trình x^2 + ax + a^2 - 1 = 0 (ẩn x và tham số a). Hỏi giá trị lớn nhất mà nghiệm của phương trình có thể đạt được là bao nhiêu?

Đề thi thử sẽ giúp các em học sinh ôn tập hiệu quả cho kỳ thi tuyển sinh sắp tới. Chúc các em thành công!

Bình luận (5)

200x nhhh

Em sẽ cố gắng học tập chăm chỉ và ôn thi theo tài liệu này để đạt kết quả tốt nhất trong kỳ thi sắp tới.

Trả lời.

Ngô Minh Thu

Tôi rất hạnh phúc khi biết có đề thi thử vào 10 chất lượng như thế này để giúp học sinh chuẩn bị tốt cho kỳ thi sắp tới.

Trả lời.

Tiến Đạt Đỗ

Em vui mừng vì có thêm tài liệu ôn thi để tự kiểm tra kiến thức của mình và nâng cao điểm số.

Trả lời.

Đặng Trần Quốc Khánh

Đây thực sự là một cơ hội tuyệt vời cho học sinh nâng cao kiến thức và kỹ năng giải bài toán toán học.

Trả lời.

j6tehrge

Tôi tin rằng tài liệu này sẽ giúp học sinh tự tin hơn khi đối mặt với các bài thi khó khăn.

Trả lời.
Nhấn vào đây để đánh giá
Thông tin người gửi
1.52762 sec| 2475.023 kb