Đề thi thử vào môn Toán trường THCS Giảng Võ Hà Nội

Đề thi thử vào môn Toán trường THCS Giảng Võ Hà Nội
Mời thí sinh CLICK vào liên kết hoặc ảnh bên dưới Mở ứng dụng Shopee để tiếp tục làm bài thi
https://s.shopee.vn/AKN2JyAJAw
sytu.net và đội ngũ nhân viên xin chân thành cảm ơn!

Nội dung Đề thi thử vào môn Toán trường THCS Giảng Võ Hà Nội Bản PDF

Đề thi thử vào môn Toán trường THCS Giảng Võ Hà Nội

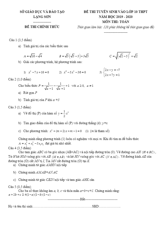
Ngày 28 tháng 05 năm 2020, trường THCS Giảng Võ, quận Ba Đình, thành phố Hà Nội đã tổ chức kỳ thi thử tuyển sinh vào lớp 10 môn Toán cho năm học 2019 - 2020. Đề thi bao gồm 02 trang với 05 bài toán dạng tự luận, và thời gian làm bài là 120 phút.

Trích dẫn một số bài toán trong đề thi:

  • Cho biết tại hội khỏe Phù Đổng của thành phố Hà Nội, có 56 đội bóng đã đăng ký tham gia. Ban tổ chức dự kiến chia 56 đội thành các bảng đấu với số đội ở mỗi bảng bằng nhau. Tuy nhiên, vì có 1 đội không tham dự được, ban tổ chức quyết định tăng thêm 1 đội ở mỗi bảng, dẫn đến tổng số bảng giảm đi 3. Hỏi số bảng dự kiến ban đầu là bao nhiêu?
  • Một quả trứng được thả vào cốc nước hình trụ, trứng nằm ngang trên đáy cốc và còn tươi. Hãy tính thể tích của quả trứng biết diện tích đáy của cốc là 16,7 cm2 và nước trong cốc dâng thêm 8,2 mm.
  • Cho tứ giác ABCD nội tiếp trong đường tròn có đường kính AD. Chứng minh một số tính chất của tứ giác và các đường tròn đồng quy trong tứ giác đó.

Đề thi thử này không chỉ giúp học sinh luyện tập và ôn tập kiến thức môn Toán mà còn giúp họ làm quen với cấu trúc đề thi chính thức, từ đó nâng cao khả năng làm bài và chuẩn bị tốt cho kỳ thi sắp tới.

Bình luận (5)

Trần Bảo Yến

Em rất hào hứng để bắt đầu giải những câu hỏi trong đề thi thử này. Hy vọng sẽ đạt được điểm số tốt và thể hiện được kiến thức của mình.

Trả lời.

Hà Ngọc Diệp

Tôi sẽ dành thời gian học bài cẩn thận từ tài liệu này. Muốn chinh phục mục tiêu đề ra, không có cách nào khác ngoài việc nỗ lực và kiên trì.

Trả lời.

Quang Đào

Em quyết định in ra tài liệu này để giữ trong sổ tay ôn thi. Đề thi thử trường THCS Giảng Võ Hà Nội hứa hẹn sẽ giúp em đạt kết quả cao.

Trả lời.

42 Trương Thị Yến Vy 8B

Tôi sẽ chia sẻ tài liệu này với các học sinh khác để giúp họ chuẩn bị tốt hơn cho kỳ thi sắp tới. Phát huy tinh thần đồng đội là quan trọng.

Trả lời.

nguyen minh nghia

Em không ngừng biết ơn những người đã làm ra tài liệu này. Có thêm tài liệu ôn tập chất lượng như vậy thật sự quý giá.

Trả lời.
Nhấn vào đây để đánh giá
Thông tin người gửi
1.70357 sec| 2474.984 kb