Đề thi tuyển sinh năm học 2017 2018 môn Toán trường THPT chuyên Hùng Vương Phú Thọ (Chuyên Tin)

Đề thi tuyển sinh năm học 2017 2018 môn Toán trường THPT chuyên Hùng Vương Phú Thọ (Chuyên Tin)

Nội dung Đề thi tuyển sinh năm học 2017 2018 môn Toán trường THPT chuyên Hùng Vương Phú Thọ (Chuyên Tin) Bản PDF

Đề thi tuyển sinh năm học 2017-2018 môn Toán trường THPT chuyên Hùng Vương Phú Thọ (Chuyên Tin)

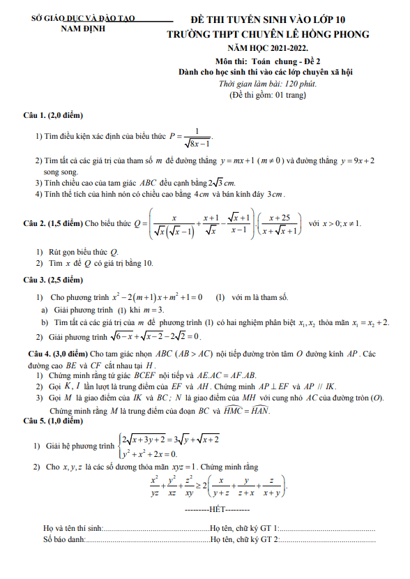
Đề thi tuyển sinh lớp 10 năm học 2017-2018 môn Toán trường THPT chuyên Hùng Vương - Phú Thọ (Dành cho thí sinh thi chuyên Tin) bao gồm 5 bài toán tự luận. Trong đó, có một số bài toán như sau:

  • Cho đường tròn (O; R) có đường kính AB, M là điểm thuộc đoạn AB (M không trùng với A và B). Qua M vẽ đường thẳng (d) vuông góc với AB. Trên (d) lấy điểm C nằm ngoài (O). Vẽ các tiếp tuyến CE, CF với (O) ( E, F là tiếp điểm). Gọi H, K lần lượt là giao điểm của CA, CB với (O) (H khác A, K khác B), I là giao điểm của AK và BH.
  • a) Chứng minh các điểm C, M, E, F, O cùng thuộc một đường tròn
  • b) Chứng minh ba điểm E, F, I thẳng hàng
  • c) Xác định vị trí điểm C để tâm đường tròn ngoại tiếp tam giác ABC nằm trên đường thẳng EF

Đề thi này đòi hỏi các thí sinh phải có kiến thức sâu về hình học và khả năng suy luận logic để giải các bài toán. Đây là một bài thi thách thức đối với các thí sinh muốn theo học chuyên ngành Tin học tại trường THPT chuyên Hùng Vương - Phú Thọ.Đề thi không chỉ đánh giá kiến thức mà còn đánh giá khả năng vận dụng lý thuyết vào thực hành của thí sinh, từ đó hiện thực hóa ước mơ của mình.

Bình luận (5)

Thủy Thanh

Em rất vui vì có cơ hội thử sức với đề thi tuyển sinh năm học 2017-2018 môn Toán của trường THPT chuyên Hùng Vương Phú Thọ. Đây là dịp để tự kiểm tra và đánh giá khả năng của mình đối với môn học này.

Trả lời.

Đình Minh

Tôi hoàn toàn phấn khích khi tìm thấy file pdf download của đề thi toán trường chuyên Hùng Vương Phú Thọ. Đây là tài liệu quý giá giúp học sinh nắm vững cấu trúc đề thi và rèn luyện kỹ năng giải bài toán.

Trả lời.

Trương Thị Ngọc

Em rất cảm động khi thấy có đề thi tuyển sinh của trường chuyên Hùng Vương Phú Thọ để ôn luyện. Đây là một cơ hội tốt để tự kiểm tra kiến thức và chuẩn bị tốt nhất cho kỳ thi sắp tới.

Trả lời.

Phạm Nga

Tôi không ngừng biết ơn vì đã có những người đã chia sẻ tài liệu này. Đề thi tuyển sinh năm học 2017-2018 môn Toán trường THPT chuyên Hùng Vương Phú Thọ thật sự hữu ích cho việc ôn luyện của học sinh.

Trả lời.

Hải Nam

Em không thể không phấn khích khi thấy có thể tìm thấy file pdf download của đề thi toán trường chuyên Hùng Vương Phú Thọ. Đây là cơ hội lớn để rèn luyện và cải thiện kiến thức của mình.

Trả lời.
Nhấn vào đây để đánh giá
Thông tin người gửi
2.47310 sec| 2475.414 kb