Đề thi tuyển sinh THPT năm học 2017 2018 môn Toán trường THPT chuyên Lê Quý Đôn Bình Định

Đề thi tuyển sinh THPT năm học 2017 2018 môn Toán trường THPT chuyên Lê Quý Đôn Bình Định

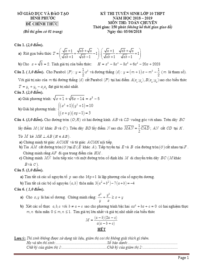
Nội dung Đề thi tuyển sinh THPT năm học 2017 2018 môn Toán trường THPT chuyên Lê Quý Đôn Bình Định Bản PDF

Đề thi tuyển sinh THPT năm học 2017 2018 môn Toán trường THPT chuyên Lê Quý Đôn Bình Định

Đề thi tuyển sinh lớp 10 THPT năm học 2017 – 2018 môn Toán trường THPT chuyên Lê Quý Đôn – Bình Định là một đề thi khó với 5 bài toán tự luận, mỗi bài toán đều có lời giải chi tiết.

Một trong những bài toán trong đề đề cập đến việc tính vận tốc ban đầu của một chiếc ô tô. Cụ thể, hai thành phố A và B cách nhau 450 km. Chiếc ô tô đi từ A đến B với vận tốc dự kiến, nhưng do tăng vận tốc 5 km/h nên đã đến B sớm hơn 1 giờ so với thời gian dự kiến. Học sinh cần phải tính toán để tìm ra vận tốc ban đầu của ô tô.

Bài toán khác đề cập đến đường tròn và các phép chứng minh liên quan đến các điểm trên đường tròn. Học sinh cần phải chứng minh các điều kiện đã được nêu trong bài toán, từ đó áp dụng kiến thức học được để giải quyết vấn đề.

Đề thi này không chỉ là cơ hội để học sinh thể hiện kiến thức mà còn đánh giá khả năng vận dụng kiến thức vào thực tế và khả năng giải quyết vấn đề logic của học sinh.

Bình luận (5)

Mạnh Quân Nguyễn

Em thấy như đang nhận một món quà đặc biệt khi được sử dụng tài liệu này. Cảm ơn tất cả những ai đã chia sẻ, đây thực sự là nguồn thông tin hữu ích cho việc ôn thi của em.

Trả lời.

Thương Nguyễn

Tôi rất hạnh phúc khi có cơ hội tiếp cận với đề thi tuyển sinh THPT từ trường THPT chuyên Lê Quý Đôn Bình Định. Đây chắc chắn sẽ là tài liệu quý giá giúp tôi chuẩn bị tốt cho kỳ thi.

Trả lời.

lê tiến minh

Em thấy rất cảm động khi thấy tài liệu này, hãy cùng nhau chia sẻ và giúp đỡ nhau để cùng vượt qua kỳ thi quan trọng sắp tới. Chúc mọi người thành công!

Trả lời.

Lê Hòa Bịn

Tôi muốn bày tỏ lòng biết ơn sâu sắc tới người đã chia sẻ tài liệu này. Đề thi tuyển sinh THPT năm học 2017-2018 môn Toán không chỉ giúp học sinh ôn tập mà còn giúp họ tự tin hơn khi đối diện với kỳ thi sắp tới.

Trả lời.

Nhật Nam Nguyễn Trương

Em thấy rất vui khi có cơ hội tìm hiểu đề thi tuyển sinh môn Toán từ trường THPT chuyên Lê Quý Đôn Bình Định. Chắc chắn em sẽ rèn luyện kỹ năng giải đề cực kỳ hiệu quả từ tài liệu này.

Trả lời.
Nhấn vào đây để đánh giá
Thông tin người gửi
1.81206 sec| 2475.258 kb