Đề thi và đáp án môn Toán khối B năm 2011

Đề thi và đáp án môn Toán khối B năm 2011
Mời thí sinh CLICK vào liên kết hoặc ảnh bên dưới Mở ứng dụng Shopee để tiếp tục làm bài thi
https://s.shopee.vn/AKN2JyAJAw
sytu.net và đội ngũ nhân viên xin chân thành cảm ơn!

Nội dung Đề thi và đáp án môn Toán khối B năm 2011 Bản PDF

Đề thi và đáp án môn Toán khối B năm 2011

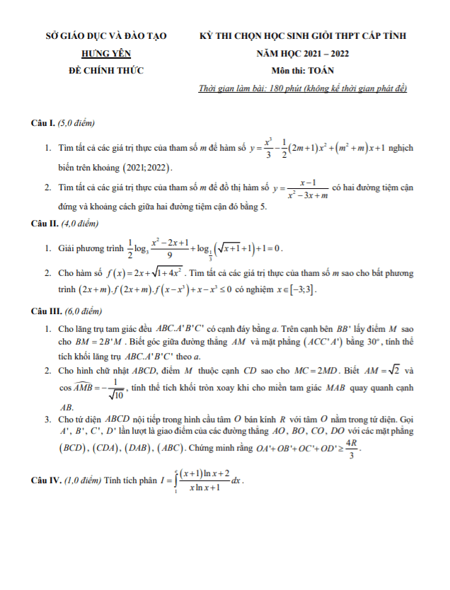
Đề thi và đáp án môn Toán khối B năm 2011 là tài liệu quan trọng để học sinh ôn tập và chuẩn bị cho kỳ thi. Đề thi này cung cấp cho học sinh cơ hội để tự kiểm tra kiến thức và kỹ năng giải các bài toán trong môn Toán.

Trong đề thi và đáp án, học sinh sẽ được thử thách với các dạng bài tập đa dạng từ dễ đến khó, từ cơ bản đến phức tạp. Để có điểm số cao, học sinh cần phải nắm vững kiến thức cơ bản và có khả năng áp dụng linh hoạt vào việc giải quyết vấn đề.

Đáp án đi kèm với đề thi giúp học sinh tự kiểm tra và đánh giá kết quả bài làm của mình. Họ có cơ hội hiểu rõ hơn về cách giải các phần bài tập và cải thiện kỹ năng làm bài của mình.

Qua việc tự ôn tập bằng đề thi và đáp án môn Toán khối B năm 2011, học sinh sẽ nâng cao kiến thức, khả năng giải quyết vấn đề và chuẩn bị tốt nhất cho kỳ thi sắp tới.

Bình luận (5)

Mì Nguyễn

Tài liệu này không chỉ giúp học sinh ôn tập môn Toán mà còn giúp họ tự tin hơn khi đối mặt với kì thi. Em sẽ chắc chắn sử dụng tài liệu này để luyện tập hàng ngày.

Trả lời.

Nguyễn Thu Hà

Tôi vui mừng khi tìm thấy đề thi và đáp án Toán khối B năm 2011. Dù là thầy cô hay học sinh, chúng ta đều cần có nguồn tài liệu chất lượng như thế này để nâng cao kiến thức.

Trả lời.

41. Nguyễn Thị Ngọc Tuyền

Em nhất định sẽ dành thời gian ôn tập và làm bài tập từ 'Đề thi và đáp án môn Toán khối B năm 2011'. Cảm ơn nhóm biên soạn đã chia sẻ tài liệu quý báu này.

Trả lời.

Nguyễn Trọng Bình

Đề thi năm 2011 là một trong những bộ đề chất lượng, giúp học sinh hiểu rõ cấu trúc đề thi và phần nào dự đoán được dạng câu hỏi có thể xuất hiện trong kì thi sắp tới.

Trả lời.

Bảo Yến Nguyễn Ngọc

Tài liệu này thực sự hữu ích cho việc ôn tập Toán, đặc biệt là với các em học sinh khối B. Cảm giác tự tin hơn khi có tài liệu chuẩn đề và đáp án chi tiết.

Trả lời.
Nhấn vào đây để đánh giá
Thông tin người gửi
1.21788 sec| 2472.609 kb