Đề thi vào 10 môn Toán (chuyên) năm 2023 2024 trường chuyên Hạ Long Quảng Ninh

Đề thi vào 10 môn Toán (chuyên) năm 2023 2024 trường chuyên Hạ Long Quảng Ninh
Mời thí sinh CLICK vào liên kết hoặc ảnh bên dưới Mở ứng dụng Shopee để tiếp tục làm bài thi
https://s.shopee.vn/AKN2JyAJAw
sytu.net và đội ngũ nhân viên xin chân thành cảm ơn!

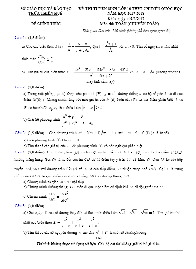
Nội dung Đề thi vào 10 môn Toán (chuyên) năm 2023 2024 trường chuyên Hạ Long Quảng Ninh Bản PDF

Đề thi vào lớp 10 môn Toán (chuyên) năm 2023 - 2024 trường chuyên Hạ Long Quảng Ninh

Chào đón quý thầy cô và các em học sinh, Sytu xin giới thiệu đến mọi người đề thi tuyển sinh vào lớp 10 chuyên Toán năm học 2023 - 2024 của trường THPT chuyên Hạ Long, tỉnh Quảng Ninh. Kỳ thi sẽ diễn ra vào ngày 03 tháng 06 năm 2023.

Bên dưới là một số câu hỏi trong đề thi môn Toán chuyên:

+ Cho x, y là các số nguyên dương thỏa mãn x2 − y và x2 + y đều là các số chính phương. Chứng minh rằng y là số chẵn.

+ Trên bảng cho 2023 số nguyên phân biệt, mỗi số đều có dạng a2 + b2 trong đó a, b là các số nguyên. Mỗi lần thực hiện một phép biến đổi như sau: Xóa hai số tùy ý, sau đó viết thêm một số bằng tích của hai số vừa xóa. Hỏi sau một số lần biến đổi, trên bảng có số bằng 26.3^2023 hay không? Hãy giải thích tại sao.

+ Cho tam giác ABC nhọn (AB < AC) nội tiếp đường tròn tâm O. Hai đường cao BD, CE của tam giác ABC cắt nhau tại H. Tia phân giác của góc BAC cắt đường thẳng BD và đường tròn (O) tại M và I (I khác A). Đường thẳng BD cắt đường tròn (O) tại K (K khác B), hai đường thẳng AC và IK cắt nhau tại Q, hai đường thẳng QH và AB cắt nhau tại P. Chứng minh: a) Tứ giác AMQK nội tiếp. b) Tam giác APQ cân tại A.

Với những câu hỏi thú vị và phong phú như vậy, chúng ta hãy cùng chuẩn bị tinh thần và kiến thức để vượt qua thử thách và chinh phục bài thi môn Toán chuyên trong kỳ tuyển sinh sắp tới!

Bình luận (4)

Đào Khôi Vĩ

Em không thể giấu được niềm hạnh phúc khi biết được có tài liệu ôn thi Toán chuyên Hạ Long. Đây chắc chắn sẽ là cầu nối giúp em vững chắc hơn trên con đường học tập.

Trả lời.

Ly Du

Tôi rất biết ơn vì có tài liệu này giúp học sinh có thêm nguồn tư liệu để ôn tập và nâng cao kiến thức. Mong rằng những ai sử dụng đề thi này sẽ đạt được kết quả tốt trong kỳ thi sắp tới.

Trả lời.

lê quang bảo

Em thấy vui mừng khi có cơ hội tiếp cận với đề thi vào 10 môn Toán chuyên của trường Hạ Long. Đây sẽ là tài liệu rất hữu ích cho việc ôn tập và chuẩn bị cho kỳ thi sắp tới.

Trả lời.

Tien Tran

Tôi rất phấn khích khi thấy tài liệu này vì nó cung cấp cho học sinh những bài tập hay và ý nghĩa để rèn luyện kiến thức Toán. Cảm ơn người đã tổng hợp và chia sẻ đề thi này!

Trả lời.
Nhấn vào đây để đánh giá
Thông tin người gửi
1.22804 sec| 2475.898 kb