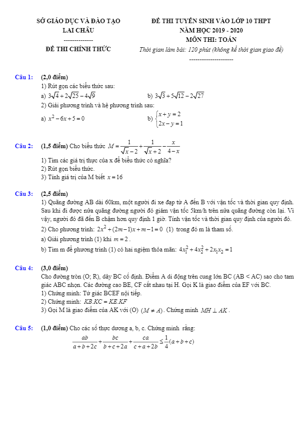
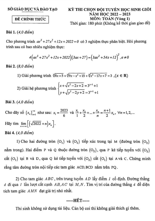
Đề thi vào 10 môn Toán (chuyên Tin) năm 2021 2022 trường chuyên Hoàng Văn Thụ Hòa Bình

Đề thi vào 10 môn Toán (chuyên Tin) năm 2021 2022 trường chuyên Hoàng Văn Thụ Hòa Bình

Nội dung Đề thi vào 10 môn Toán (chuyên Tin) năm 2021 2022 trường chuyên Hoàng Văn Thụ Hòa Bình Bản PDF

Đề thi vào 10 môn Toán (chuyên Tin) năm 2021-2022 trường chuyên Hoàng Văn Thụ Hòa Bình

Sytu xin giới thiệu đến quý thầy cô và các em học sinh đề thi tuyển sinh vào lớp 10 môn Toán (chuyên Tin) năm học 2021 – 2022 trường THPT chuyên Hoàng Văn Thụ – Hòa Bình. Đề thi bao gồm đáp án, lời giải chi tiết và hướng dẫn chấm điểm (bản chính thức do sở Giáo dục và Đào tạo tỉnh Hòa Bình công bố), kỳ thi diễn ra vào ngày 07 tháng 06 năm 2021.

Một số câu hỏi trong đề thi bao gồm:

1. Trong mặt phẳng tọa độ Oxy, có parabol (P) có phương trình y = 2x^2 và đường thẳng (d): y = 4x – m + 1 (với m là tham số). Tìm giá trị của m để (d) cắt (P) tại hai điểm phân biệt có hoành độ x thỏa mãn hệ thức: 2x^2 + 4x - 1 = 0.

2. Hai cây nến có cùng chiều dài và khác nhau về chất liệu. Cây nến thứ nhất cháy hết trong 4 giờ, cây nến thứ hai cháy hết trong 6 giờ. Nếu đốt cùng một lúc, sau bao lâu phần còn lại của cây nến thứ hai gấp đôi phần còn lại của cây nến thứ nhất.

3. Cho đường tròn tâm O, bán kính R. Từ một điểm A ở ngoài đường tròn kẻ hai tiếp tuyến AB và AC với đường tròn (B và C là các tiếp điểm). Qua B kẻ đường thẳng song song với AO cắt đường tròn tại M, đường thẳng AM cắt đường tròn tại N, đường thẳng BN cắt AO tại I, AO cắt BC tại K.

Những câu hỏi trên đều được biên soạn kỹ càng để đánh giá năng lực toán học của các bạn học sinh. Chúc các em đạt kết quả cao trong kỳ thi sắp tới!

Bình luận (5)

Nguyễn Nhật Lam

Em rất vui và sẵn sàng tham gia vào kỳ thi sắp tới với đề thi này. Cảm ơn nhà trường đã tạo điều kiện cho em có cơ hội thể hiện bản lĩnh của mình.

Trả lời.

Nguyễn trung kiên

Tôi rất háo hức để thử sức với đề thi vào 10 môn Toán (chuyên Tin) của trường chuyên Hoàng Văn Thụ Hòa Bình. Hy vọng sẽ có nhiều câu hỏi thú vị và bổ ích.

Trả lời.

nguyễn phạm khánh minh

Em thực sự cảm thấy cảm động khi thấy những câu hỏi trong đề thi này đến từ trường chuyên Hoàng Văn Thụ. Đó là một bước tiến quan trọng trong việc nâng cao kiến thức của em.

Trả lời.

van dang

Tôi rất biết ơn với nhà trường đã chuẩn bị một đề thi chất lượng như vậy, giúp học sinh rèn luyện kỹ năng và kiến thức một cách hiệu quả.

Trả lời.

Công Thành Nguyễn

Em không khỏi phấn khích khi được làm quen với nội dung của đề thi này. Hy vọng em sẽ đạt kết quả tốt và vượt qua thử thách này thành công.

Trả lời.
Nhấn vào đây để đánh giá
Thông tin người gửi
1.61837 sec| 2475.594 kb