Đề thi vào chuyên môn Toán năm 2020 2021 sở GD ĐT Lâm Đồng (chuyên Toán)

Đề thi vào chuyên môn Toán năm 2020 2021 sở GD ĐT Lâm Đồng (chuyên Toán)
Mời thí sinh CLICK vào liên kết hoặc ảnh bên dưới Mở ứng dụng Shopee để tiếp tục làm bài thi
https://s.shopee.vn/AKN2JyAJAw
sytu.net và đội ngũ nhân viên xin chân thành cảm ơn!

Nội dung Đề thi vào chuyên môn Toán năm 2020 2021 sở GD ĐT Lâm Đồng (chuyên Toán) Bản PDF

Đề thi vào lớp 10 chuyên môn Toán năm 2020 - 2021 sở GD&ĐT Lâm Đồng (chuyên Toán)

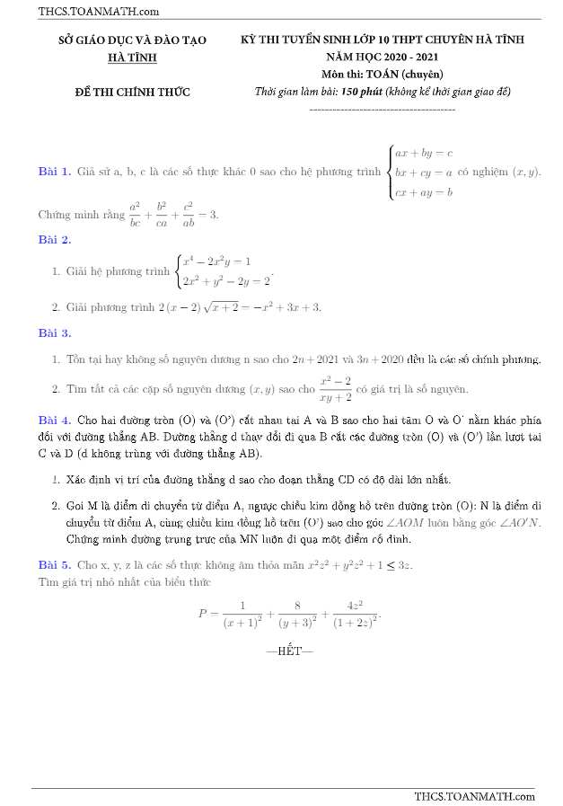
Ngày 15 tháng 07 năm 2020, sở Giáo dục và Đào tạo tỉnh Lâm Đồng đã tổ chức kỳ thi tuyển sinh vào lớp 10 chuyên môn Toán năm học 2020 - 2021. Đề thi dành cho thí sinh thi vào các lớp chuyên Toán và bao gồm 01 trang với 10 bài toán dạng tự luận, thời gian làm bài 120 phút.

Trích dẫn đề thi:

  1. Cho hình thang ABCD (AB // CD), hai đường chéo vuông góc với nhau. Biết AC = 8 cm, BD = 6 cm. Hãy tính chiều cao của hình thang.
  2. Một tổ chức từ thiện cần chia đều một số quyển vở thành các phần quà để tặng cho các cháu nhỏ ở một trung tâm nuôi dạy trẻ mồ côi. Nếu mỗi phần quà giảm 6 quyển vở thì sẽ có thêm 5 phần quà nữa, còn nếu mỗi phần quà giảm 10 quyển vở thì các cháu sẽ có thêm 10 phần quà. Hỏi tổ chức từ thiện trên có bao nhiêu quyển vở?
  3. Cho hai đường tròn (O;R) và đường tròn (O';R') tiếp xúc trong tại điểm A (trong đó R > R'). Gọi BC là một dây của đường tròn lớn tiếp xúc với đường tròn nhỏ tại D. Chứng minh rằng AD là tia phân giác của góc BAC.

Đề thi trên chứa những bài toán thú vị và đa dạng, đòi hỏi thí sinh phải có kiến thức sâu rộng và khả năng suy luận logic tốt. Chúc các thí sinh thi tốt!

Bình luận (5)

NVA Gaming

Em thấy hứng thú với việc thử sức với đề thi vào chuyên môn Toán này. Chắc chắn sẽ rất thú vị và bổ ích!

Trả lời.

Lê Diệp Kha Hy

Tôi cảm thấy cảm động và hứng khởi khi biết rằng đã có đề thi vào chuyên môn Toán năm 2020 2021 của sở GD ĐT Lâm Đồng. Đây sẽ giúp học sinh tự tin hơn trong kỳ thi sắp tới.

Trả lời.

Nghi Phương

Em thấy rất vui khi được sử dụng tài liệu này. Cơ hội ôn tập Toán trở nên thú vị hơn bao giờ hết!

Trả lời.

Trịnh Diệu Linh

Tôi rất biết ơn vì có nguồn tài liệu chất lượng như vậy để hỗ trợ giáo dục và học tập. Cảm ơn sở GD ĐT Lâm Đồng rất nhiều!

Trả lời.

Nguyễn Quang Khải

Em không thể tin nổi đã có file pdf download của đề thi vào chuyên môn Toán của sở GD ĐT Lâm Đồng! Đây sẽ là cơ hội tuyệt vời để tự tin chuẩn bị cho kỳ thi sắp tới.

Trả lời.
Nhấn vào đây để đánh giá
Thông tin người gửi
1.21066 sec| 2475.539 kb