Đề Toán tuyển sinh THPT năm 2018 2019 sở GD và ĐT Đắk Lắk

Đề Toán tuyển sinh THPT năm 2018 2019 sở GD và ĐT Đắk Lắk
Mời thí sinh CLICK vào liên kết hoặc ảnh bên dưới Mở ứng dụng Shopee để tiếp tục làm bài thi
https://s.shopee.vn/AKN2JyAJAw
sytu.net và đội ngũ nhân viên xin chân thành cảm ơn!

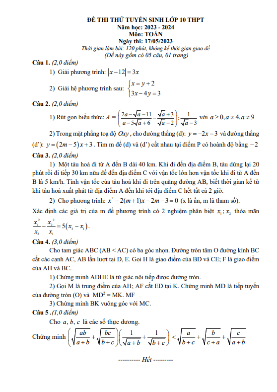
Nội dung Đề Toán tuyển sinh THPT năm 2018 2019 sở GD và ĐT Đắk Lắk Bản PDF

Đề Toán tuyển sinh THPT Đăk Lăk năm 2018 - 2019

Đề Toán tuyển sinh lớp 10 THPT năm 2018 - 2019 của sở GD và ĐT Đắk Lắk được biên soạn và tổ chức thi vào ngày 08/06/2018. Đề thi nhằm hỗ trợ các trường THPT tại tỉnh Đắk Lắk trong việc lựa chọn học sinh phù hợp với tiêu chí của trường để sẵn sàng cho năm học mới, đồng thời cung cấp lời giải chi tiết để giúp học sinh hiểu rõ hơn về từng câu hỏi và cách giải.

Việc tổ chức đề thi này không chỉ giúp tăng cường chất lượng giảng dạy mà còn khuyến khích sự cạnh tranh lành mạnh giữa các học sinh trong quá trình học tập. Đặc biệt, việc có đề thi đầu vào chất lượng cũng giúp xác định đúng hướng phát triển của học sinh và nâng cao chất lượng đào tạo trên cả tỉnh Đắk Lắk.

Bình luận (4)

Đỗ Mỹ Duyên

Em thấy cảm động khi thấy có sẵn file pdf download cho đề toán tuyển sinh THPT năm 2018 2019. Điều này thực sự giúp em tiết kiệm thời gian khi tìm tài liệu ôn tập.

Trả lời.

PHẠM THẾ ANH

Tôi muốn bày tỏ lòng biết ơn đến người đã tổng hợp và chia sẻ tài liệu này. Đây thực sự là một nguồn tư liệu hữu ích cho học sinh.

Trả lời.

Quỳnh Thi

Em thấy rất phấn khích khi có thể tìm thấy đề toán tuyển sinh thpt của Sở GD&ĐT Đắk Lắk. Đây sẽ là nguồn tư liệu quý giá giúp em ôn tập hiệu quả.

Trả lời.

phan văn huy

Tôi rất vui khi thấy có tài liệu tổng hợp như này, giúp học sinh có thêm tư liệu ôn tập cho kỳ thi sắp tới.

Trả lời.
Nhấn vào đây để đánh giá
Thông tin người gửi
1.49405 sec| 2465.195 kb