Đề tuyển sinh chuyên môn Toán (chuyên) năm 2023 2024 sở GD ĐT Hà Nam

Đề tuyển sinh chuyên môn Toán (chuyên) năm 2023 2024 sở GD ĐT Hà Nam
Mời thí sinh CLICK vào liên kết hoặc ảnh bên dưới Mở ứng dụng Shopee để tiếp tục làm bài thi
https://s.shopee.vn/AKN2JyAJAw
sytu.net và đội ngũ nhân viên xin chân thành cảm ơn!

Nội dung Đề tuyển sinh chuyên môn Toán (chuyên) năm 2023 2024 sở GD ĐT Hà Nam Bản PDF

Đề thi tuyển sinh vào lớp 10 chuyên môn Toán (chuyên) năm 2023-2024 sở GD&ĐT Hà Nam

Sytu xin gửi đến quý thầy cô giáo và các em học sinh đề thi tuyển sinh vào lớp 10 THPT chuyên môn Toán (đề chuyên) năm học 2023-2024 của sở Giáo dục và Đào tạo UBND tỉnh Hà Nam. Kỳ thi sẽ diễn ra vào thứ Ba, ngày 30 tháng 05 năm 2023.

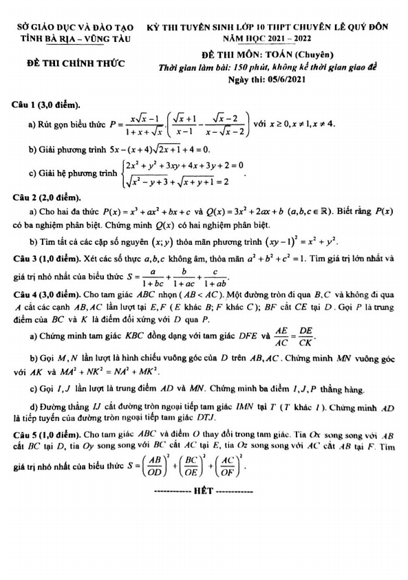
Trích dẫn một số câu hỏi từ Đề tuyển sinh lớp 10 chuyên môn Toán (chuyên) năm 2023-2024 sở GD&ĐT Hà Nam:

1. Cho biểu thức A. Hãy rút gọn biểu thức A và tìm tất cả các số nguyên x để |2A - 1| + 1 = 2A.

2. Đề cho đường tròn (O) có dây cung BC không đi qua tâm và điểm di động A trên đường tròn sao cho tam giác ABC nhọn với AB < AC. Hãy chứng minh một số tính chất của tam giác và đường tròn liên quan đến điểm A.

3. Cho a, b, c là ba số thực dương thỏa mãn một số điều kiện. Tìm giá trị lớn nhất của biểu thức được cho.

Đây là một phần nhỏ trong bài thi, với nhiều câu hỏi đa dạng và đòi hỏi sự tư duy logic và khả năng giải quyết vấn đề. Chúc các em học sinh ôn tập tốt và thành công trong kỳ thi sắp tới!

Bình luận (4)

hồ thế bằng

Em cảm thấy cảm động trước sự chu đáo của sở GD ĐT Hà Nam khi ra mắt Đề tuyển sinh chuyên môn Toán. Điều này thể hiện sự quan tâm đến việc phát triển chất lượng giáo dục ở địa phương.

Trả lời.

Vảng Tẩn

Tôi muốn bày tỏ lòng biết ơn tới sở GD ĐT Hà Nam vì đã cung cấp tài liệu hữu ích này. Nó thực sự giúp đỡ không chỉ cho các giáo viên mà còn cho học sinh như tôi.

Trả lời.

Thanh thảo Lam

Em cảm thấy rất vui khi có cơ hội tải về file pdf Đề tuyển sinh chuyên môn Toán năm 2023 2024 từ sở GD ĐT Hà Nam. Điều này giúp em chuẩn bị cho kì thi sắp tới một cách chuyên sâu hơn.

Trả lời.

Kim Phúc Lê

Tôi rất háo hức khi nhận được tài liệu Đề tuyển sinh chuyên môn Toán năm 2023 2024 từ sở GD ĐT Hà Nam. Đây chắc chắn là cơ hội tuyệt vời để thử thách bản thân và chinh phục môn Toán.

Trả lời.
Nhấn vào đây để đánh giá
Thông tin người gửi
1.53244 sec| 2475.242 kb