Đề tuyển sinh môn Toán (chuyên) năm 2022 2023 trường chuyên Quốc học Huế

Đề tuyển sinh môn Toán (chuyên) năm 2022 2023 trường chuyên Quốc học Huế
Mời thí sinh CLICK vào liên kết hoặc ảnh bên dưới Mở ứng dụng Shopee để tiếp tục làm bài thi
https://s.shopee.vn/AKN2JyAJAw
sytu.net và đội ngũ nhân viên xin chân thành cảm ơn!

Nội dung Đề tuyển sinh môn Toán (chuyên) năm 2022 2023 trường chuyên Quốc học Huế Bản PDF

Đề thi tuyển sinh môn Toán (chuyên) năm 2022 2023 trường chuyên Quốc học Huế

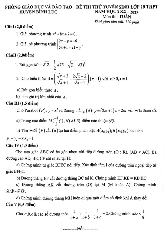
Chào đón quý thầy cô giáo và các em học sinh lớp 9, Sytu xin giới thiệu đến bạn đề thi chính thức kỳ thi tuyển sinh vào lớp 10 THPT môn Toán (chuyên Toán) năm học 2022 – 2023 của trường THPT chuyên Quốc học Huế, tỉnh Thừa Thiên Huế. Kỳ thi này sẽ diễn ra vào ngày 09 tháng 06 năm 2022.

Trích dẫn đề tuyển sinh lớp 10 môn Toán (chuyên) năm 2022 – 2023 trường chuyên Quốc học Huế:

- Cho đường tròn (O) và dây BC cố định không đi qua O. Điểm A thay đổi trên cung lớn BC sao cho ABC là tam giác nhọn và AB < AC. Gọi AD, BE, CF là các đường cao và H là trực tâm của tam giác ABC. Gọi K là giao điểm của hai đường thẳng BC và EF; I là giao điểm thứ hai của KA với (O); M là trung điểm BC; N là giao điểm thứ hai của AH và (O). Chứng minh: a) Tứ giác AIFE là tứ giác nội tiếp; b) Ba điểm M, H, I thẳng hàng; c) Tứ giác INMO là tứ giác nội tiếp; d) Đường thẳng N luôn đi qua một điểm cố định khi A thay đổi.

- Tìm tất cả các số nguyên x, y thỏa mãn x3 – x2(y + 1) + x(7 + y) – 4 – y = 0.

- Cho x, y, z là các số thực dương thỏa mãn xy + yz + zx = 3. Chứng minh?

Bình luận (5)

Huy Le

Tôi rất háo hức để bắt đầu ôn luyện từ tài liệu đề tuyển sinh môn Toán chuyên của trường Quốc học Huế. Đây sẽ là bước ngoặt quan trọng trong quá trình chuẩn bị cho kì thi sắp tới.

Trả lời.

Mai Huỳnh Phương Khanh

Em cảm thấy cảm động trước sự chia sẻ tài liệu đề tuyển sinh môn Toán chuyên từ trường Quốc học Huế. Điều này thể hiện sự quan tâm và hỗ trợ đáng khen ngợi đối với các học sinh trên con đường tìm kiếm tri thức.

Trả lời.

Nguyễn Hoàng Yến

Tôi không thể tin được rằng có thể tìm thấy file pdf download của đề tuyển sinh môn Toán chuyên năm 2022 2023 từ trường Quốc học Huế. Điều này thực sự khiến tôi rất biết ơn và ganh tiếc về cơ hội học tập này.

Trả lời.

Nguyễn cẩm tiên

Em cảm thấy rất phấn khích khi có cơ hội tham gia vào kỳ thi tuyển sinh môn Toán chuyên của trường Quốc học Huế. Tài liệu này sẽ giúp em rèn luyện kỹ năng và kiến thức một cách hiệu quả.

Trả lời.

Thảo Anh Official

Tôi rất hồn nhiên khi tìm thấy tài liệu đề tuyển sinh môn Toán chuyên của trường Quốc học Huế. Đây chắc chắn là cơ hội tuyệt vời để chuẩn bị cho kì thi sắp tới.

Trả lời.
Nhấn vào đây để đánh giá
Thông tin người gửi
1.07920 sec| 2475.07 kb